• Предмет: Алгебра
  • Автор: kkkkiiiii
  • Вопрос задан 8 лет назад

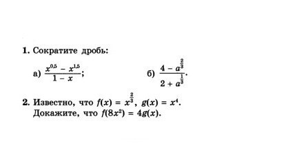
Алгебра.Помогите пожалуйста.

Приложения:

Ответы

Ответ дал: LFP
0

1а) чтобы сократить дробь, нужны множители одинаковые...

в числителе можно вынести общий множитель (это икс в меньшей степени), в числителе получится:  x^{0.5} -x^{1.5} = x^{0.5} *(x^{0.5-0.5} -x^{1.5-0.5}) =x^{0.5} *(1 -x) и вся скобка сократится... Ответ:  x^{0.5}

1б) по показателям степени видно, что в числителе нужно вспомнить формулу "разность квадратов"... в числителе получится:  4-a^{frac{2}{3}}=2^{2} -(a^{frac{1}{3}})^{2}=(2-a^{frac{1}{3}})(2+a^{frac{1}{3}}) и вся скобка сократится... Ответ:  2-a^{frac{1}{3}}

2) f(8x²) = (8x²)^(2/3) = (2³)^(2/3) * (x²)^(2/3) = 2² * x^(4/3) = 4*g(∛x)

здесь, видимо опечатка... плохо видно показатели степени (рисунок не масштабируется...)

Вас заинтересует