• Предмет: Химия
  • Автор: 2549723u
  • Вопрос задан 8 лет назад

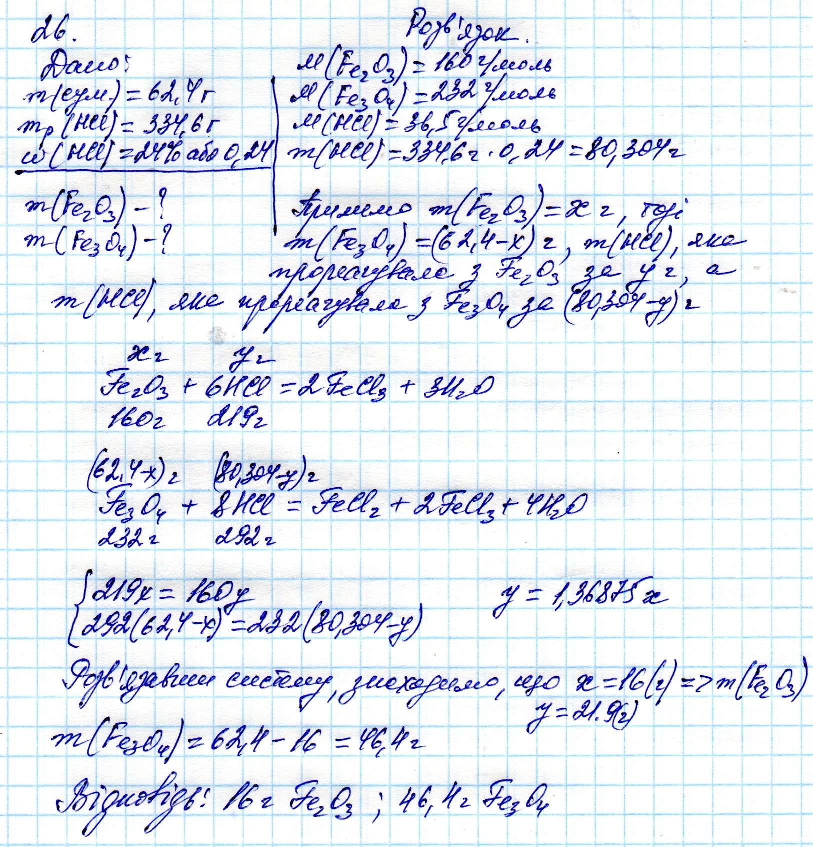
решите задачи 6.2.23 : 38.58% Cu(Oh)2 61.42%al (oh)3 6.2.25 43.5г k2so4 . 8.55 г Al2(so4)3 6 2. 26 : 16 г Fe2O3. 46.4г fe3o4

Приложения:

Ответы

Ответ дал: mrvladimir2
0

...................................................................................................................

Приложения:
Ответ дал: 2549723u
0
24 не нужно было делать
Ответ дал: 2549723u
0
там же было написано что нужно
Вас заинтересует