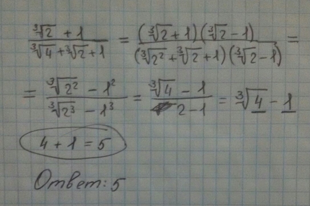
Приведите дробь
![frac{sqrt[3]{2}+1}{sqrt[3]{4}+sqrt[3]{2}+1} frac{sqrt[3]{2}+1}{sqrt[3]{4}+sqrt[3]{2}+1}](https://tex.z-dn.net/?f=+frac%7Bsqrt%5B3%5D%7B2%7D%2B1%7D%7Bsqrt%5B3%5D%7B4%7D%2Bsqrt%5B3%5D%7B2%7D%2B1%7D+++++)
к виду
где x и y — некоторые натуральные числа. В ответе укажите величину x+y
(можно просто ответ, без решения)
Ответы
Ответ дал:
0
Решение во вложении.
Приложения:

Вас заинтересует
3 года назад
3 года назад
9 лет назад
9 лет назад
9 лет назад
9 лет назад