• Предмет: Алгебра
  • Автор: avfbkhjkkok
  • Вопрос задан 8 лет назад

Помогите пожалуйста!система уравнений!

Приложения:

Ответы

Ответ дал: mefody66
0

1)
{  6^{1 + log_6 (x+y)} = 48
{  log_8 (x+y) + log_8 (x-y) = 1 frac{1}{3}
Решаем
{  6*6^{ log_6 (x+y)} = 6*8
{  log_8 (x+y) + log_8 (x-y) = 1 + frac{1}{3}
Отсюда по свойствам логарифмов:
{ x + y = 8
{ log_8 (8) + log_8 (x - y) = 1 + 1/3
Далее, log_8 (8) = 1, поэтому:
{ x + y = 8
{ log_8 (x - y) = 1/3
Получаем
{ x + y = 8
{ x - y = 8^(1/3) = 2
Складываем уравнения:
2x = 10; x = 5; y = 8 - x = 3.
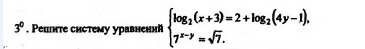
2)
{  log_2 (x+3) = 2 + log_2 (4y-1)
{  7^{x-y} = sqrt{7} = 7^{1/2}
Решаем по свойствам степеней и логарифмов:
{  log_2 (x+3) = log_2 (4) + log_2 (4y-1)
{ x - y = 1/2
Отсюда, опять по свойствам логарифмов:
{ x = y + 1/2
{ x + 3 = 4(4y - 1)
Подставляем
y + 1/2 + 3 = 16y - 4
15y = 4 + 3 + 1/2 = 7 + 1/2 = 15/2
y = 1/2; x = y + 1/2 = 1/2 + 1/2 = 1

Ответ дал: avfbkhjkkok
0
спасибо
Ответ дал: mefody66
0
Пожалуйста
Вас заинтересует