Ответы
Ответ дал:
0
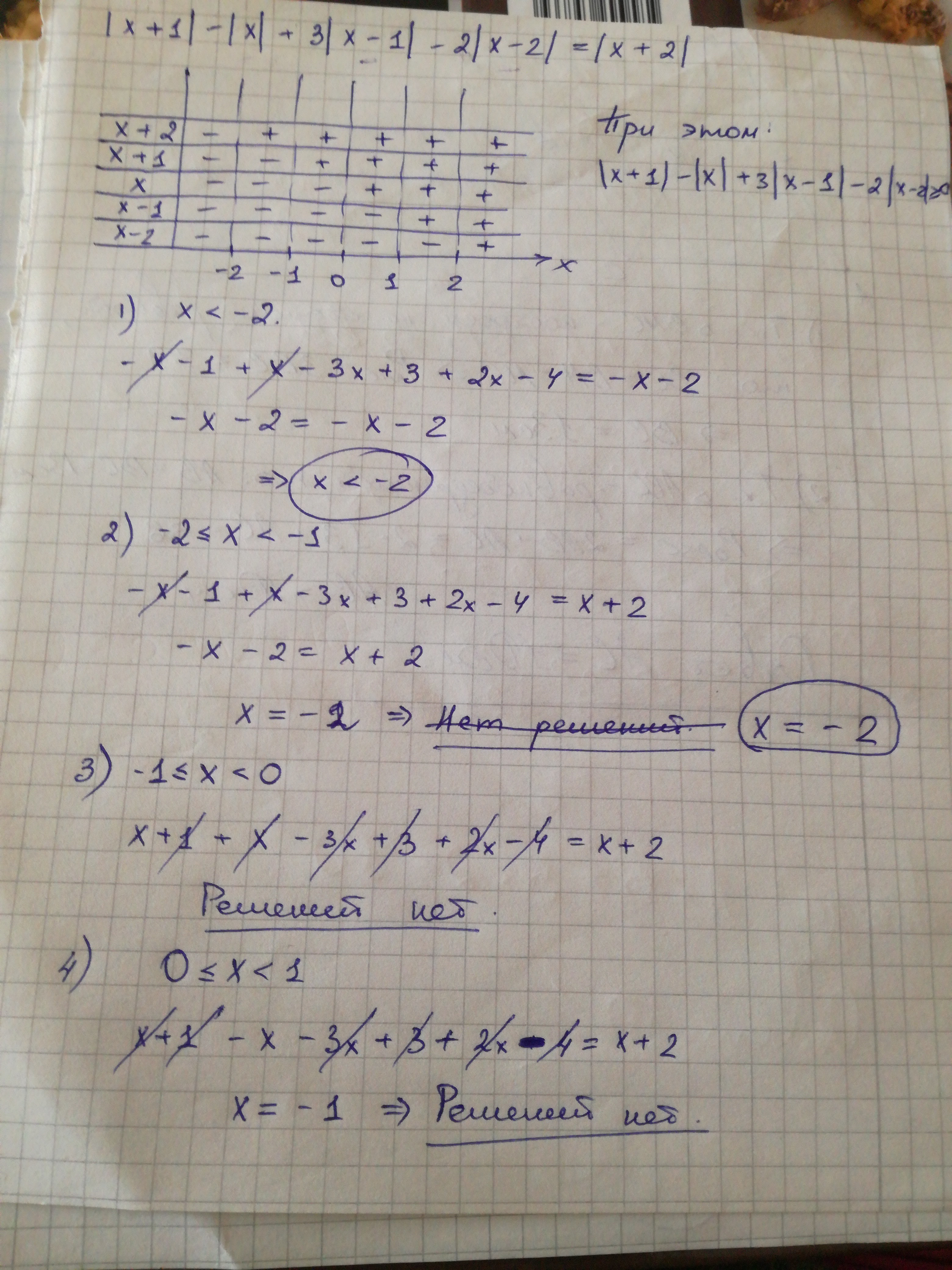
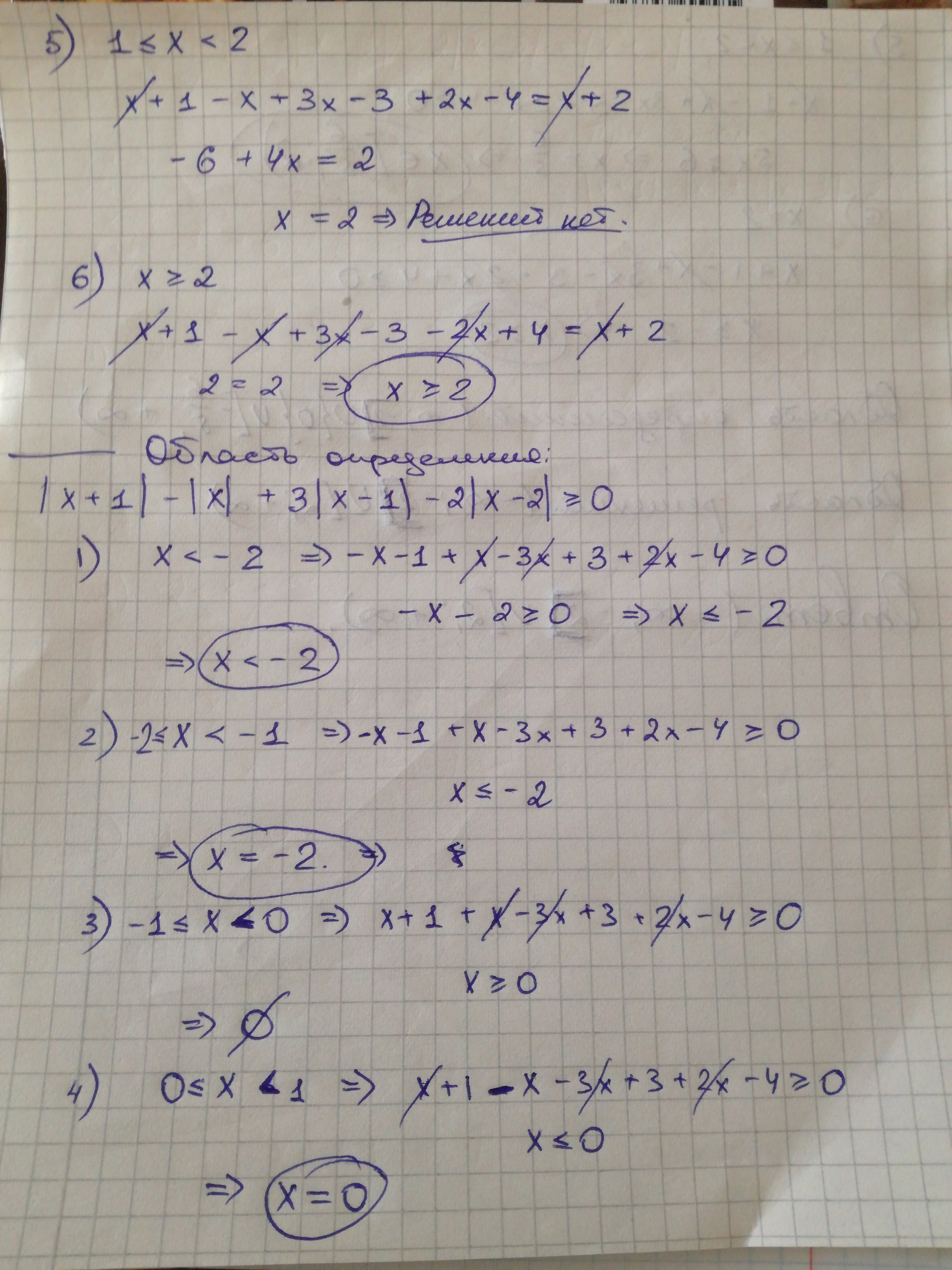
Смотрите ответ на фотографии.
Вроде так оно решается
Приложения:



Вас заинтересует
2 года назад
2 года назад
3 года назад
9 лет назад