Ответы
Ответ дал:
0
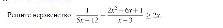
Ответ прикреплен. Удачи))
Приложения:

Ответ дал:
0
Спасибо вам огромное!
Вас заинтересует
2 года назад
2 года назад
3 года назад
9 лет назад
9 лет назад