• Предмет: Алгебра
  • Автор: bogdanlinchenk
  • Вопрос задан 8 лет назад

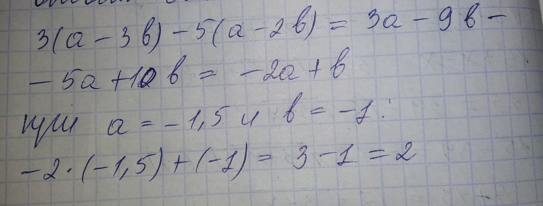
Упростите выражение и найди его значение
при a= -1.5 и b= -1
3(a-3b) - 5(a-2b)

Ответы

Ответ дал: sherlok123321
0
--------------------------------------------------
Готово.
--------------------------------------------------
Приложения:
Ответ дал: bogdanlinchenk
0
Спасибо большое
Ответ дал: Аноним
0

-------------------------------------
Ответ во вложении
-------------------------------------

Если что то непонятно то обращайтесь!!!!!

Приложения:
Вас заинтересует