Ответы
Ответ дал:
0
решение в приложении
Приложения:


Ответ дал:
0
Вроде вспомнил
Ответ дал:
0
Правильный ответ (-1;1)
Ответ дал:
0
Спасибо
Ответ дал:
0
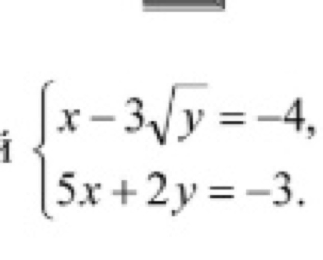
Ещё раз. Гораздо проще Корень(у)=u. После несложных преобразований получим 2*u^2 + 15*u -17=0 Корни u=-8.5 u=1, значит у=1. Подставив в 2 получим х=-1. Ответ (-1,1)
Ответ дал:
0
Да решил спасибо
Вас заинтересует
2 года назад
2 года назад
3 года назад
3 года назад
9 лет назад
9 лет назад
9 лет назад