• Предмет: Математика
  • Автор: lavalampa
  • Вопрос задан 8 лет назад

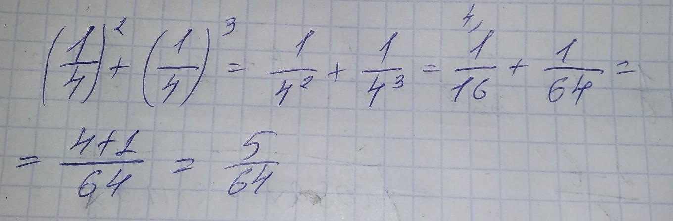
Найдите сумму квадрата и Куба дроби 1/4

Ответы

Ответ дал: sherlok123321
0
-----------------------------------------------
Готово.
-----------------------------------------------
Приложения:
Ответ дал: lavalampa
0
спасибо тебе огромное
Ответ дал: sherlok123321
0
пожалуйста
Ответ дал: snow99
0

 {( frac{1}{4} )}^{2}  +  {( frac{1}{4} )}^{3}  =  frac{1}{16}  +  frac{1}{64}  =  frac{4}{64}  +  frac{1}{64}  =  frac{5}{64}
Приложения:
Вас заинтересует