• Предмет: Алгебра
  • Автор: nikitatimokhin
  • Вопрос задан 8 лет назад

Помогите пожалуйста решить!

Приложения:

Ответы

Ответ дал: sherlok123321
0
-----------------------------------------------
Готово.
-----------------------------------------------
Приложения:
Ответ дал: Аноним
0

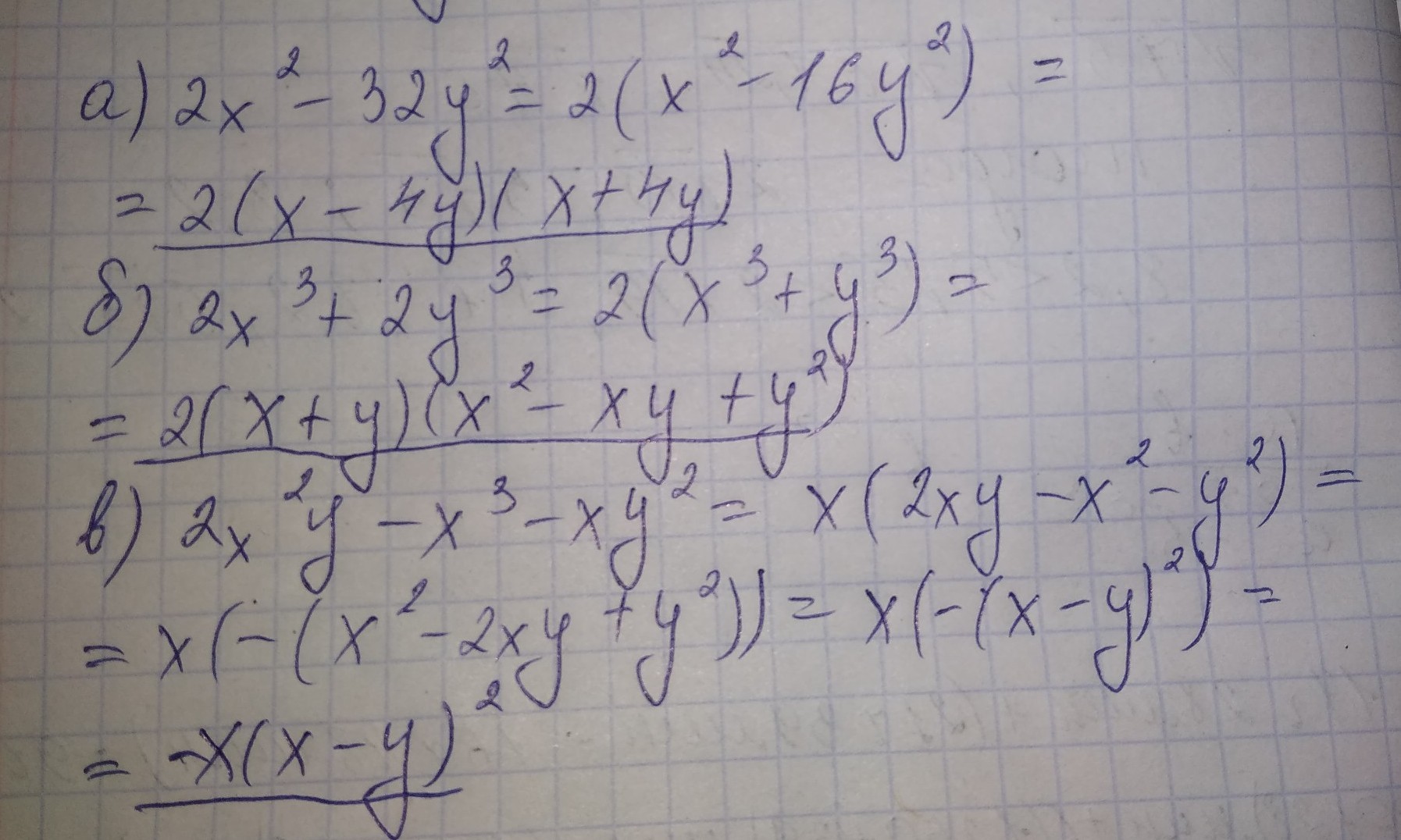
а)2х^2-32y^2=2(x^2-16y^2)=2(x-4y)(x+4y)

б)2x^3+2y^3=2(x^3+y^3)=2(x+y)(x^2-xy+y^2)

в)2x^2y-x^3-xy^2=x(2x-x^2-y^2)

Если что то непонятно то обращайтесь!!!

Приложения:
Вас заинтересует