• Предмет: Математика
  • Автор: daniilscpdelta
  • Вопрос задан 8 лет назад

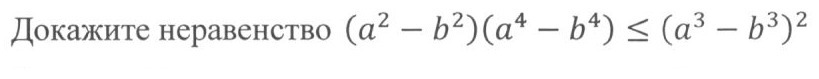
Срочно! Докажите неравенство. 15 баллов

Приложения:

Ответы

Ответ дал: SergX961
0

Раскрываем скобки:

 a^{6}-a^{2}b^{4}-a^{4}b^{2}+b^{6} leq  a^{6}-2a^{3}b^{3}+b^{6}

 -a^{2}b^{4}-a^{4}b^{2}+ leq  -2a^{3}b^{3}

 a^{2}b^{4}+a^{4}b^{2}-2a^{3}b^{3} geq   0

 a^{2}b^{2}(a^{2}-2ab+b^{2}) geq 0

 a^{2}b^{2}(a-b)^{2} geq 0

Выражение в квадрате всегда ≥ 0

Вас заинтересует