• Предмет: Математика
  • Автор: NIKITA1112312
  • Вопрос задан 8 лет назад

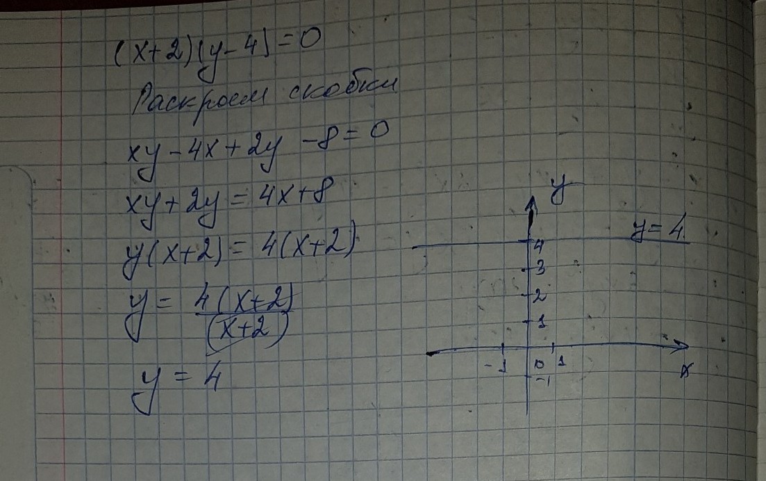
Помогите построить график уравнения (х+2)*(у-4)=0

Ответы

Ответ дал: 1233090
0
решение задания смотри на фотографии
Приложения:
Ответ дал: Simba2017
0
а x=-2-не решение?
Ответ дал: NIKITA1112312
0
Спасибо огромное
Ответ дал: 1233090
0
пожалуйста,спасибо за оценку
Вас заинтересует