Ответы
Ответ дал:
0
1)

Ответ: 8/13.
2)

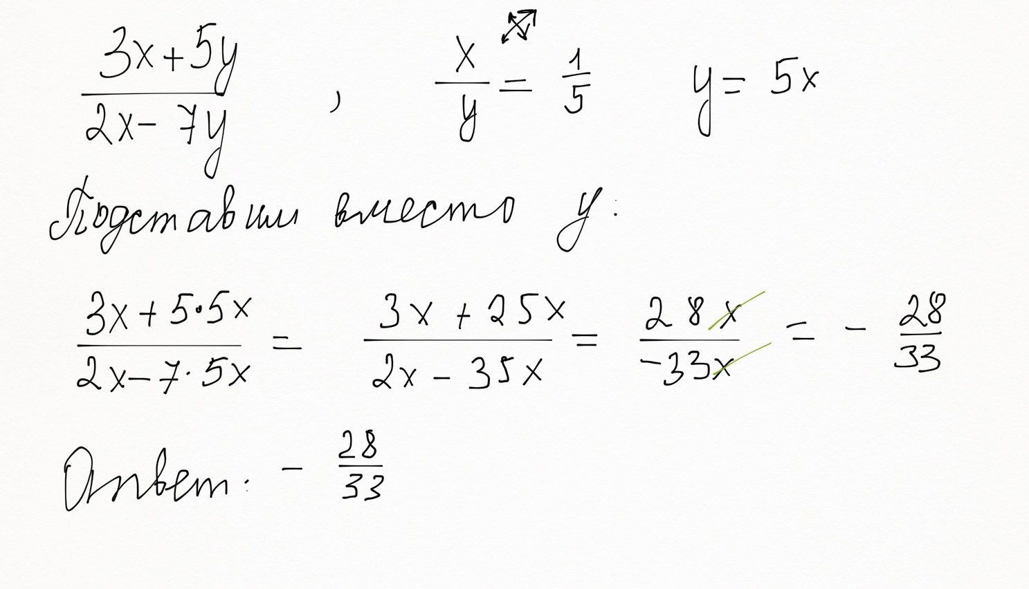
Ответ: -28/33
Ответ: 8/13.
2)
Ответ: -28/33
Ответ дал:
0
Решение прикреплено. Удачи )))))
Приложения:
Вас заинтересует
2 года назад
3 года назад
3 года назад
9 лет назад
10 лет назад