Ответы
Ответ дал:
0
Решение во вложении. Удачи
Приложения:

Ответ дал:
0
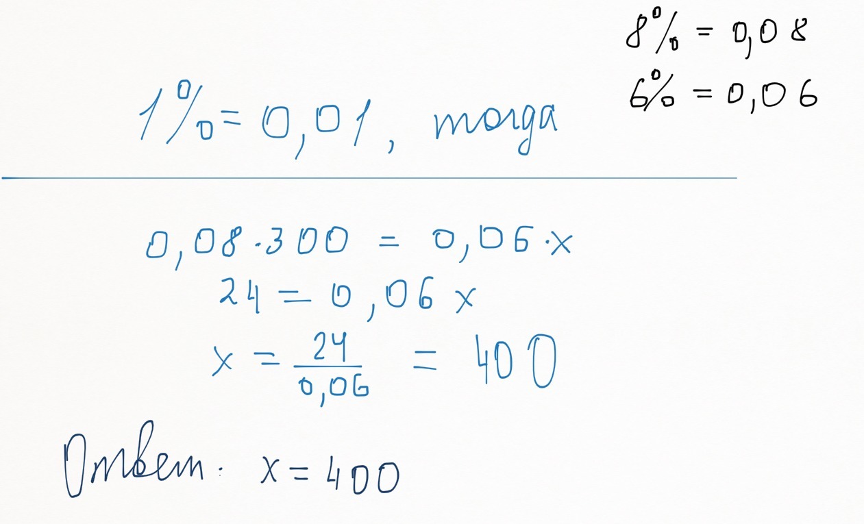
Думаю, все понятно.
Приложения:

Вас заинтересует
2 года назад
2 года назад
3 года назад
9 лет назад
9 лет назад
9 лет назад