• Предмет: Алгебра
  • Автор: Аноним
  • Вопрос задан 8 лет назад

ПОМОГИТЕ ПОЖАЛУЙСТА СРОЧНО ПРОШУ ПРЯМО СЕЙЧАС

Приложения:

Ответы

Ответ дал: NeZeRAvix
0

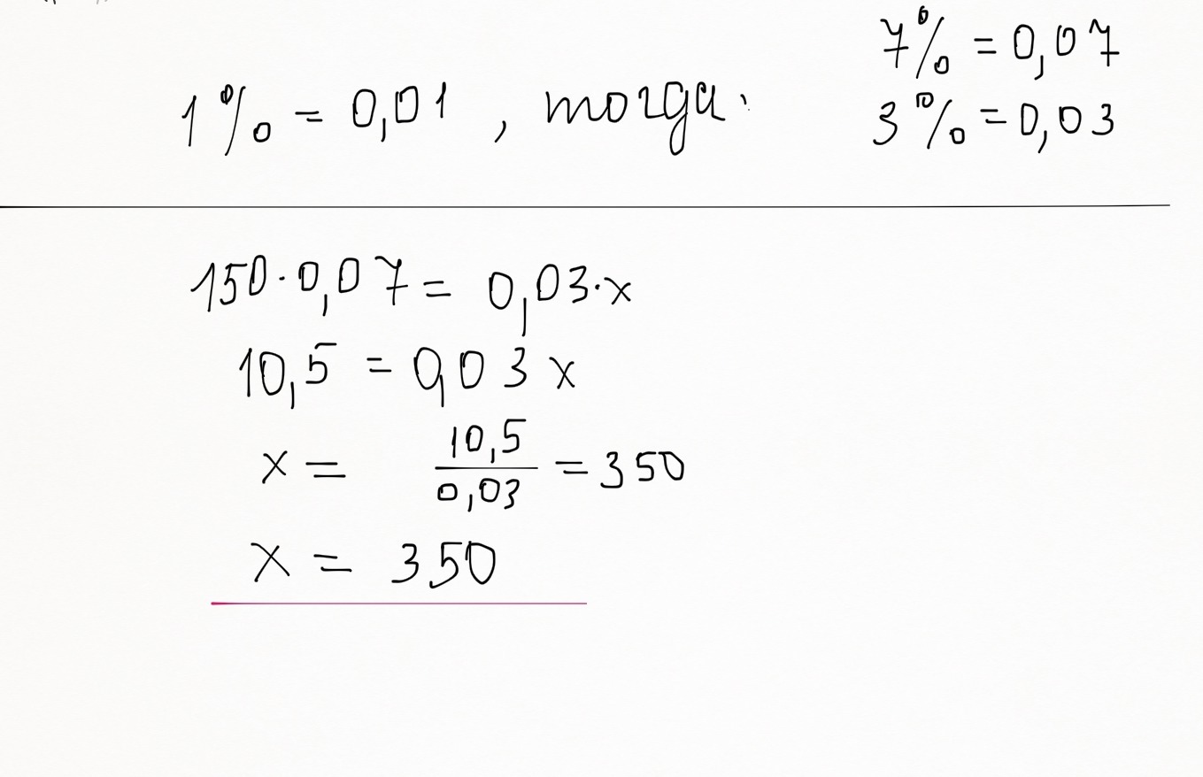
7% от числа 150 это 150·0,07

3% от числа x это x·0,03

Приравниваем и получаем уравнение

 bf 150cdot 0,07 =x cdot 0,03\ 150cdot 7=3x\ 50 cdot 7 =x\ x=350


Ответ: 350

Ответ дал: Guardian07
0

Решение во вложении. Удачи

Приложения:
Вас заинтересует