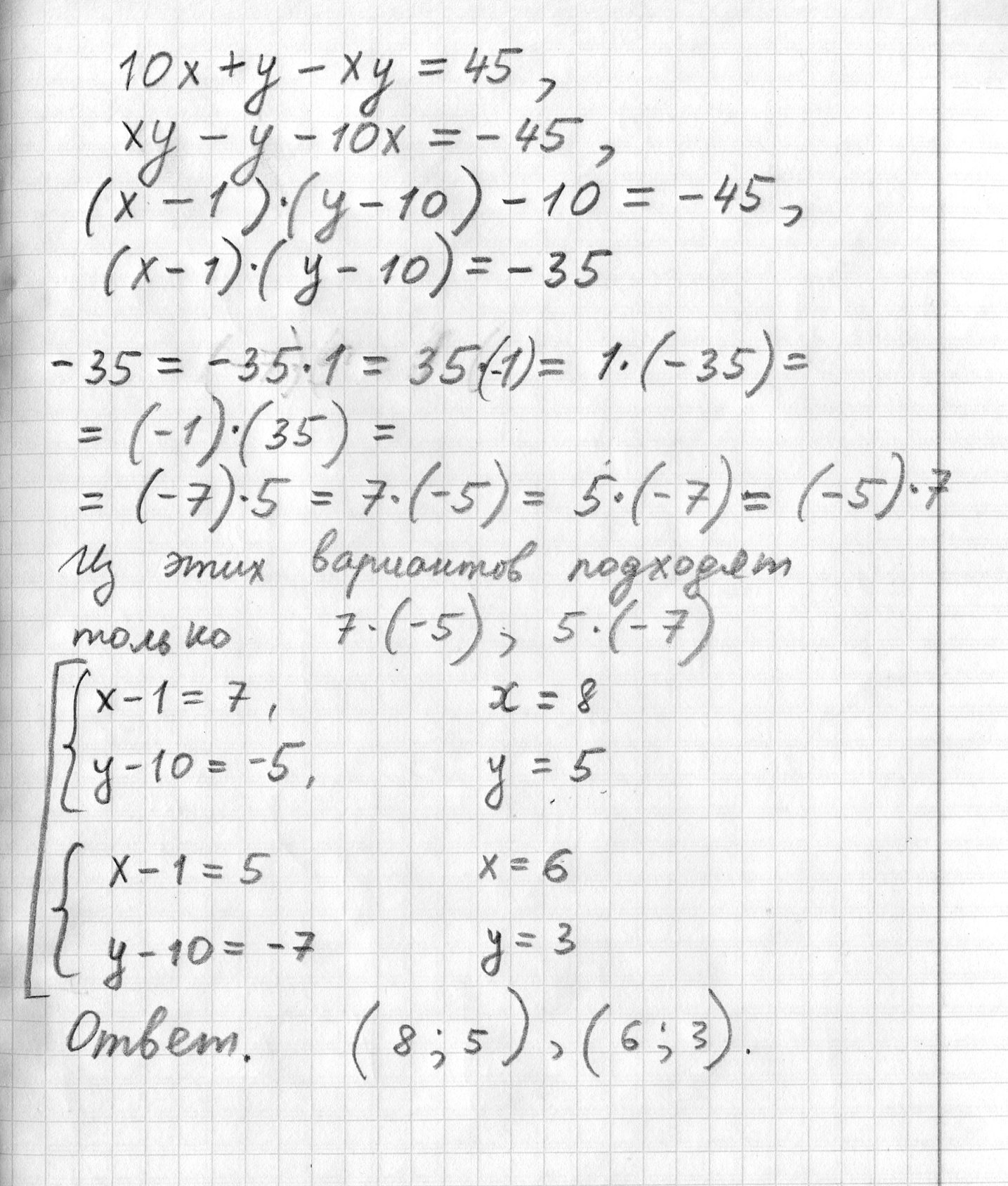
Пусть х - десятки, у - единицы, тогда 10х+ у- двузначное число. 10х+у-ху=45. РЕШИТЕ ДАЛЬШЕ ПЖ!!!!
Ответы
Ответ дал:
0
я написал краткое решение на листочке ===>>
Приложения:
Вас заинтересует
2 года назад
3 года назад
3 года назад
9 лет назад
9 лет назад
10 лет назад
10 лет назад