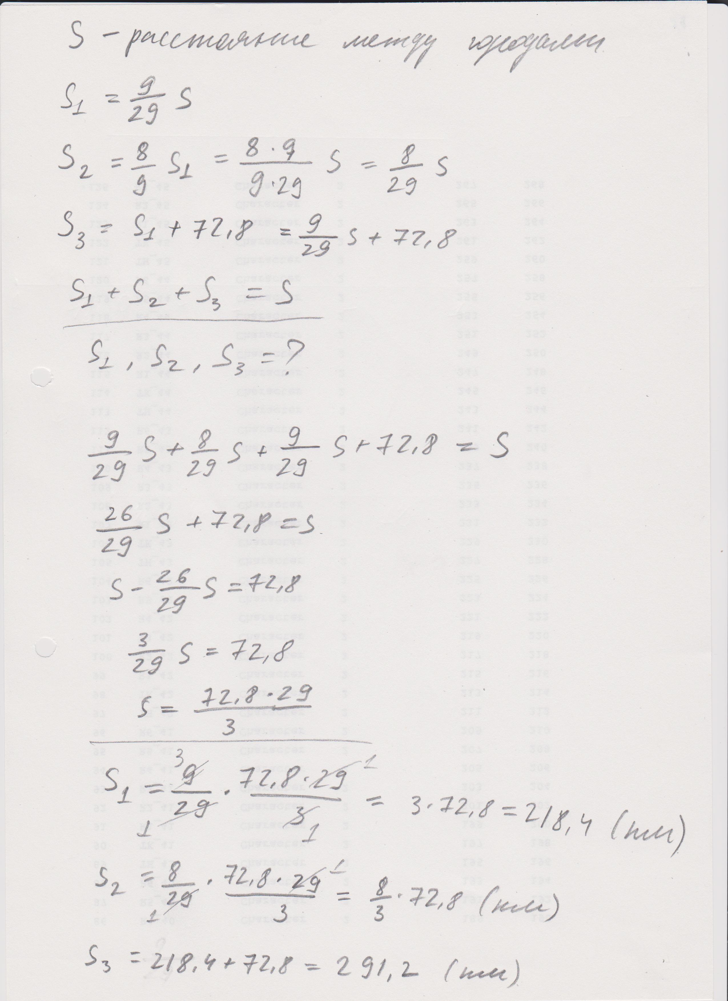
1.Корабль проплыл расстояние между двумя городами за три дня.Корабль проплыл 9/29 чвсти всего пути за первый день,8/9 части от пути пройденного в первый день во второй,а в третий день проплыл на 72,8 км больше чем в первый день.Сколько километров в отдельности за три дня проплыл этот корабль?
Ответы
Ответ дал:
0
Решение в приложении
Приложения:

Вас заинтересует
2 года назад
2 года назад
3 года назад
9 лет назад
9 лет назад