• Предмет: Информатика
  • Автор: helpmeGodplease
  • Вопрос задан 8 лет назад

расшифруйте пожалуйста

Приложения:

Ответы

Ответ дал: nick4694
0
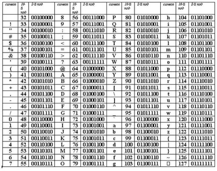
таблица знаков в формате двоичного кода
Ответ дал: helpmeGodplease
0
это только часть
Ответ дал: helpmeGodplease
0
там полно цифр
Ответ дал: nick4694
0
вобщем тогда ручками на сайте введи calc.ru/kalkulyator-kodov.html
Ответ дал: nick4694
0
он тебе рассшифрует что за текст там скрыт
Ответ дал: helpmeGodplease
0
спасибо
Вас заинтересует