• Предмет: Математика
  • Автор: Mariosa356
  • Вопрос задан 8 лет назад

ПОМОГИТЕ)СРОЧНО ОЧЕНЬ ЖЕЛАТЕЛЬНО ОЧЕЕНННЬЬ КАРТИНКОЙ

Приложения:

Ответы

Ответ дал: miki68
0

=37/4*8-11/3*9/2-54/5*55/12=74-33/2-99/2=74-132/2=74-66=8

Ответ дал: Regent1828
0

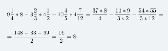
 displaystyle 9frac{1}{4}*8-3frac{2}{3}*4frac{1}{2}-10frac{4}{5}*4frac{7}{12}=frac{37*8}{4}-frac{11*9}{3*2}-frac{54*55}{5*12}=\\\=frac{148-33-99}{2}=frac{16}{2}=8;

Приложения:
Вас заинтересует