• Предмет: Математика
  • Автор: nastyasherlok
  • Вопрос задан 8 лет назад

Решите, пожалуйста, но без использования логарифмов

Приложения:

Ответы

Ответ дал: Evgenia4836
0

Решение во вложении:

Приложения:
Ответ дал: ruslank1460
0

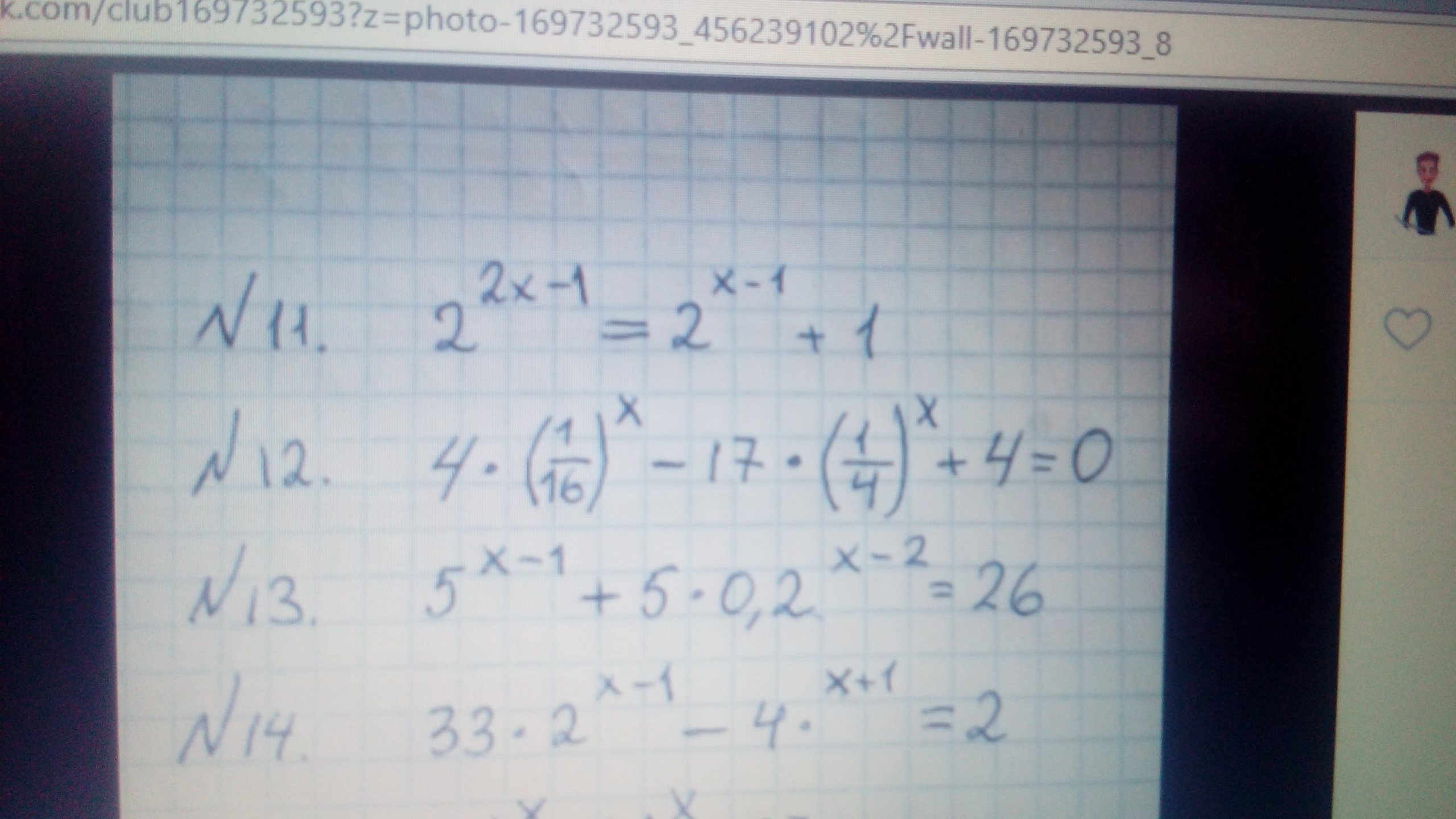
№11

2²ˣ ⁻ ¹ = 2ˣ⁻¹ + 1|·2; 2²ˣ= 2ˣ + 2; 2²ˣ - 2ˣ - 2 = 0; - квадратное уравнение относительно 2ˣ.

2ˣ = 2 или 2ˣ = -1 - не имеет решений

x₁ = 1 Ответ: 1.

№12

4·(1/16)ˣ - 17·(1/4)ˣ + 4 = 0; 4·((1/4)ˣ)² - 17·(1/4)ˣ + 4 = 0; - квадратное уравнение относительно (1/4)ˣ.

D = 289 - 64 = 225; √D = 15;

(1/4)ˣ = (17 + 15)/8; (1/4)ˣ = 4; (1/4)ˣ = (1/4)⁻¹; x₁ = -1;

(1/4)ˣ = (17 - 15)/8; (1/4)ˣ = 1/4; x₂ = 1;

Ответ: -1; 1.

№13

5ˣ⁻¹ + 5·0,2ˣ⁻² = 26; 5ˣ⁻¹ + 5·5²⁻ˣ = 26|·5ˣ⁺¹; 5²ˣ + 5·5³ = 26·5ˣ⁺¹;

5²ˣ - 26·5ˣ⁺¹ + 5·5³ = 0; 5²ˣ - 130·5ˣ + 625 = 0; - квадратное уравнение относительно 5ˣ.

5ˣ = 5 или 5ˣ = 125.

x₁ = 1 x₂ = 3

Ответ: 1; 3.

№14

33·2ˣ⁻¹ - 4ˣ⁺¹ = 2|·2; 33·2ˣ - 2²⁽ˣ⁺¹⁾⁺¹ = 4; 33·2ˣ - 2²ˣ⁺³ = 4; 8·2²ˣ - 33·2ˣ + 4 = 0; - квадратное уравнение относительно 2ˣ.

D = 1089 - 128 = 961; √D = 31.

2ˣ = (33 + 31)/16 = 4; 2ˣ = 4; x₁ = 2.

2ˣ = (33 - 31)/16 = 1/8; 2ˣ = 2⁻³; x₂ = -3.

Ответ: 2; -3.

Приложения:
Вас заинтересует