Ответы
Ответ дал:
0
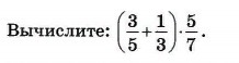
1) 14 5 2
__ * __ = _
15 7 3
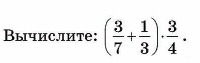
2) 16 3 4
_ * _ = _
21 4 7
__ * __ = _
15 7 3
2) 16 3 4
_ * _ = _
21 4 7
Ответ дал:
0
1.


2.


2.
Вас заинтересует
2 года назад
2 года назад
3 года назад
3 года назад
9 лет назад
9 лет назад