Ответы
Ответ дал:
0
1)

2)

2)
Ответ дал:
0
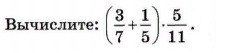
(3/7+1/5)*5/11=(15/35+7/35)*5/11=22/35*5/11=2/14=1/7
(3/5+1/9)*5/8=27/45+3/45)*5/8=30/45*5/8=5/12
Ответ дал:
0
фак 2/7
Ответ дал:
0
и 32/45*5/8=4/9
Вас заинтересует
2 года назад
2 года назад
3 года назад
3 года назад
9 лет назад
9 лет назад