Ответы
Ответ дал:
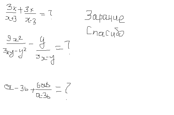
0
1. 0 получается
2. 9x^2-3xy-y^2/y
3. a-3b
Не очень уверен, что правильно, но получилось так.
2. 9x^2-3xy-y^2/y
3. a-3b
Не очень уверен, что правильно, но получилось так.
Вас заинтересует
3 года назад
8 лет назад
8 лет назад
11 лет назад
11 лет назад
11 лет назад