• Предмет: Математика
  • Автор: Vika100dgf
  • Вопрос задан 8 лет назад

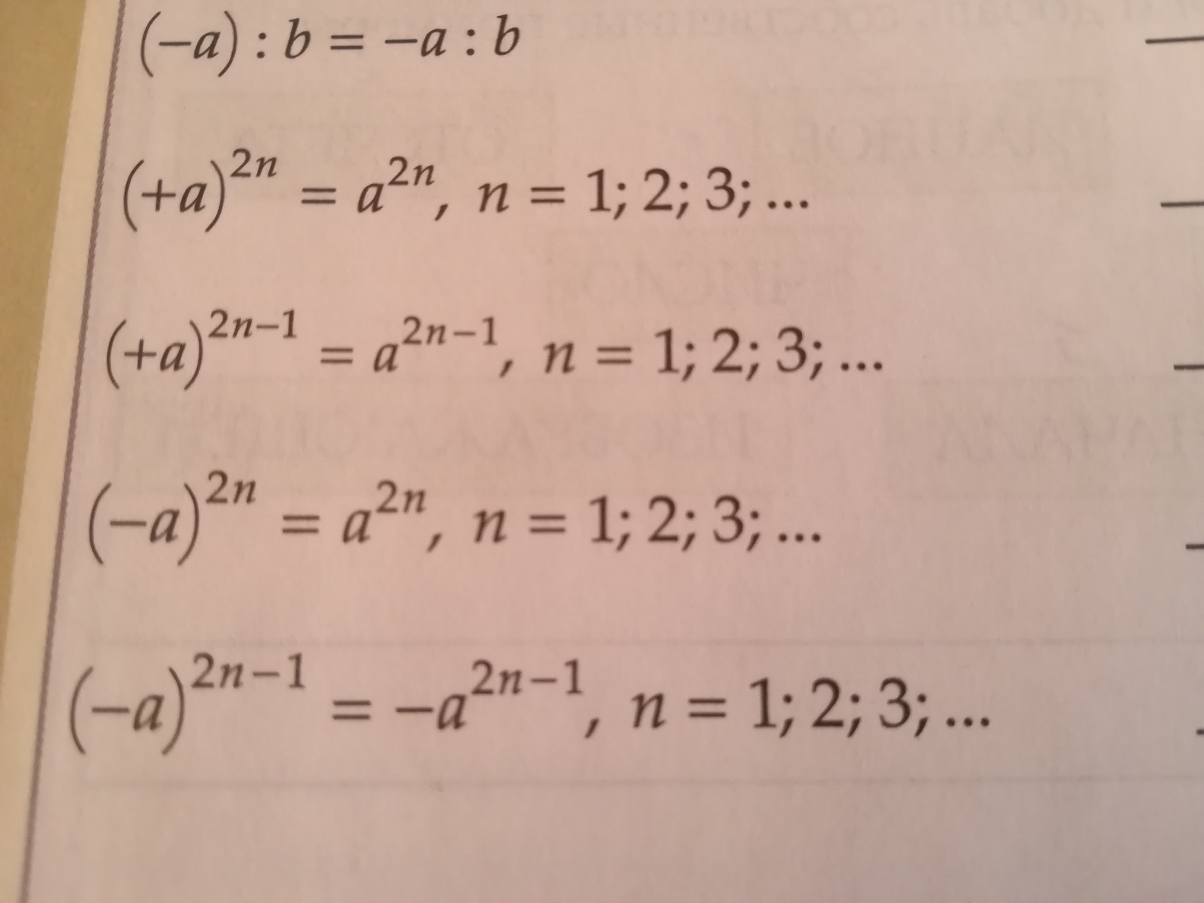
Помогите пожалуйста решить уравнения.

Приложения:

Ответы

Ответ дал: a89181415442
0

какое конкретно уравнение ?

Вас заинтересует