Ответы
Ответ дал:
0
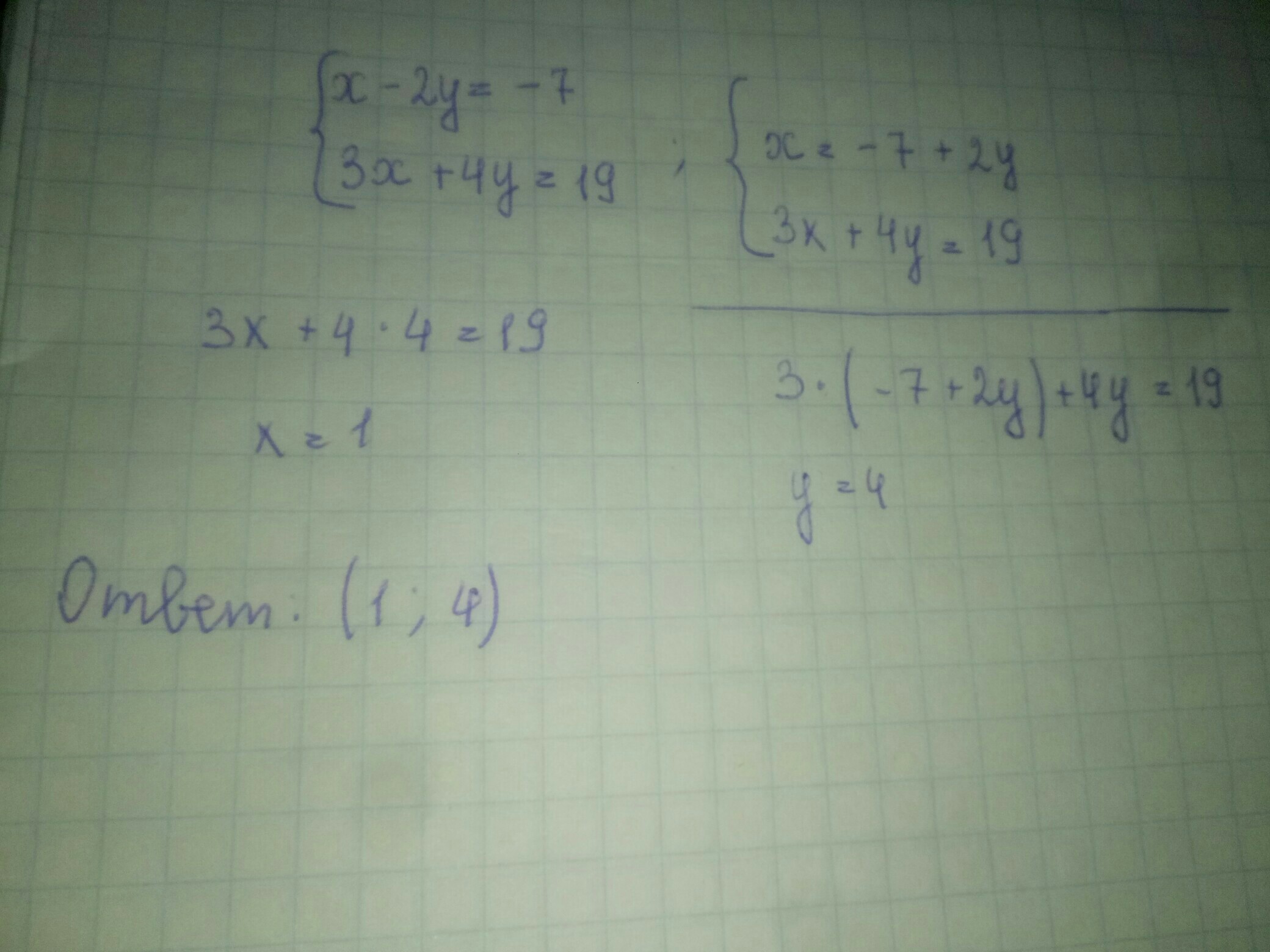
х - 2у = -7 | *3
3х + 4у = 19
3x - 6y = -21
3x + 4y = 19
Из второго уравнения вычтем первое:
10y = 40
x = -7 + 2y
y = 4
x = -7 + 2y
y = 4
x = -7 + 2*4 = 1
Ответ: (1; 4)
3х + 4у = 19
3x - 6y = -21
3x + 4y = 19
Из второго уравнения вычтем первое:
10y = 40
x = -7 + 2y
y = 4
x = -7 + 2y
y = 4
x = -7 + 2*4 = 1
Ответ: (1; 4)
Ответ дал:
0
вот решение системы
ответ будет (1;4)
ответ будет (1;4)
Приложения:

Вас заинтересует
2 года назад
2 года назад
3 года назад
3 года назад
9 лет назад
9 лет назад