• Предмет: Математика
  • Автор: olgakardashian
  • Вопрос задан 8 лет назад

СРОЧНО ПОМОГИТЕ С ЗАДАНИЕМ! БУДУ ОЧЕНЬ БЛАГОДАРНА
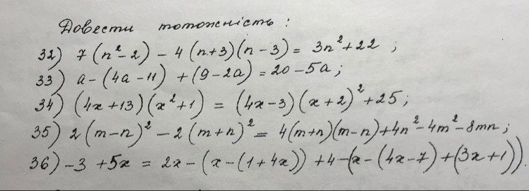
Доведіть тотожність (докажите тождество) ТОЛЬКО 35 пример нужно

Приложения:

Ответы

Ответ дал: snow99
0

2 {(m - n)}^{2}  -  2{(m + n)}^{2}  = 4(m + n)(m - n) + 4 {n}^{2}  - 4 {m}^{2}   - 8mn \ 2( {(m - n)}^{2}  -  {(m + n)}^{2} ) = 4( {m}^{2}  -  {n}^{2} ) + 4 {n}^{2}  - 4 {m}^{2}  - 8mn \ 2(m - n + m + n)(m - n - m - n) = 4 {m}^{2}  - 4 {n}^{2}  + 4 {n}^{2} - 4 {m}^{2}   - 8mn \ 2 times 2m times ( - 2n) =  - 8mn \  - 8mn =  - 8mn
что и требовалось доказать.
Вас заинтересует