СРОЧНО! ПОМОГИТЕ С ПРИМЕРОМ! БУДУ ОЧЕНЬ БЛАГОДАРНА!
Розкласти на множники (разложить на множители) ТОЛЬКО 49 пример нужно!
Приложения:

Ответы
Ответ дал:
0
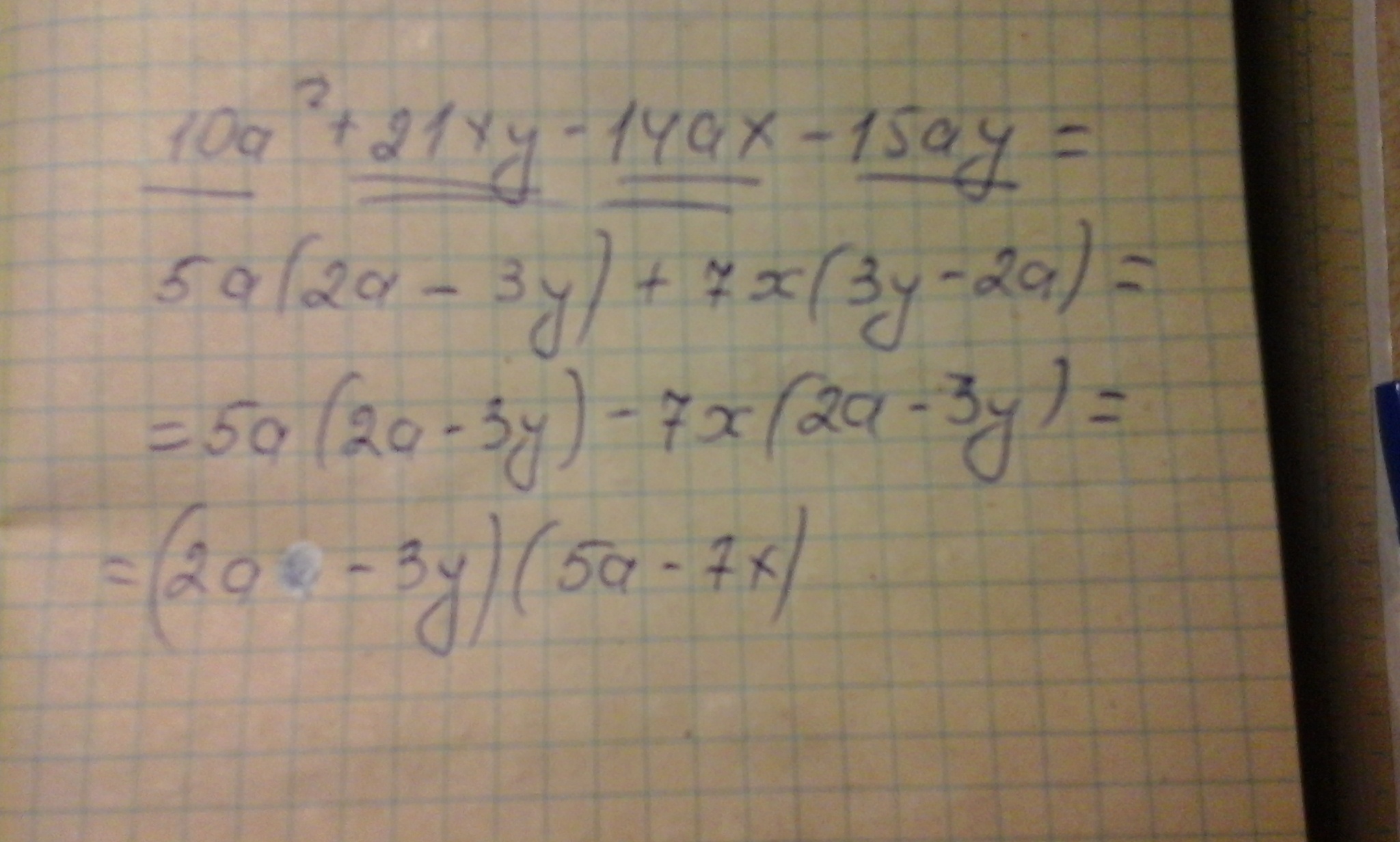
10a² + 21xy - 14ax - 15ay = (10a² - 14ax) - (15ay - 21xy) = 2a·(5a - 7x) - 3y·(5a - 7x) = (5a - 7x)(2a - 3y)
Ответ дал:
0
надеюсь, что помогла, удачи
Приложения:

Ответ дал:
0
жаль, не могу "лучшим" отметить)), вполне заслуженная оценка бы была!
Вас заинтересует
2 года назад
2 года назад
3 года назад
9 лет назад
9 лет назад