• Предмет: Алгебра
  • Автор: Musa9595
  • Вопрос задан 8 лет назад

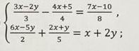
Пример по алгебре 7-8 класс

Приложения:

Ответы

Ответ дал: LFP
0

первое уравнение системы: умножим обе части равенства на 24...

8(3х-2у) - 6(4х+5) = 3(7х-10) раскроем скобки и приведем подобные...

24х-16у - 24х-30 = 21х-30

-16у = 21х (это первое уравнение системы)

второе уравнение системы: умножим обе части равенства на 10...

5(6х-5у) + 2(2х+у) = 10(х+2у)

30х-25у + 4х+2у = 10х+20у

24х = 43у (это второе уравнение системы)

{ -16у = 21х ---> y = -21*x / 16

{ 43у = 24x ---> 43*(-21*x) / 16 = 24x

дальше главное не ошибиться... делить на (х) обе части равенства нельзя--ведь (х) может быть равен 0...

(-23*41/16)* х - 24*х = 0

х*((-23*41/16) - 24) = 0 то, что в скобке нулю не равно, ---> x = 0

тогда и у = 0

Ответ: (0; 0)

Ответ дал: eva979797
0
Там х и у =0
Ответ дал: eva979797
0
Не могу фотку добавить
Ответ дал: LFP
0
точно))
Ответ дал: LFP
0
не заметила... Спасибо))
Ответ дал: eva979797
0
Пожалуйста
Вас заинтересует