• Предмет: Алгебра
  • Автор: votindanil
  • Вопрос задан 8 лет назад

Можно без решения. Только ответ

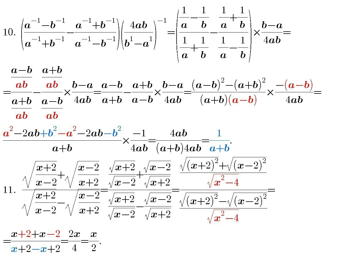
Приложения:

Ответы

Ответ дал: SCARPIONES
0
.............................
Приложения:
Вас заинтересует