• Предмет: Алгебра
  • Автор: iavzlomshchik
  • Вопрос задан 8 лет назад

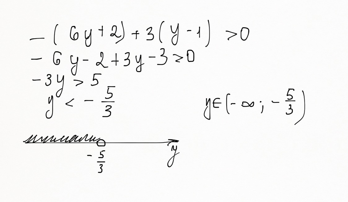
Решите линейные неравенства
-(6y+2)+3(y-1) больше 0

Ответы

Ответ дал: juniorotabekpai8do
0

Решение внизу на фото

Приложения:
Ответ дал: Guardian07
0

Решение прикреплено. Удачи

Приложения:
Вас заинтересует