• Предмет: Алгебра
  • Автор: belickovdima2018
  • Вопрос задан 8 лет назад

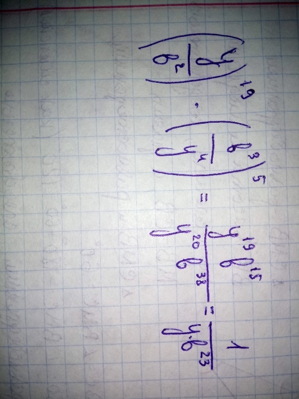
(y÷6²)¹⁹·(b³÷y⁴)⁵=

помогите пожалуйста

Ответы

Ответ дал: Sollo17
0
(y/6²)¹⁹·(b³/y⁴)⁵=y^19/6^38*b^15/y^20=
b^15/(6^38*y^-1)=b^15/(6^38*1/y)=
yb^15/6^38
Ответ дал: valenivan
0

Решение задания приложено

Приложения:
Вас заинтересует