• Предмет: Математика
  • Автор: sashasvetlichnaya
  • Вопрос задан 8 лет назад

СРОЧНО!!! ДАЮ 30 БАЛЛОВ!!!!

Приложения:

Ответы

Ответ дал: Af1nOdE
0

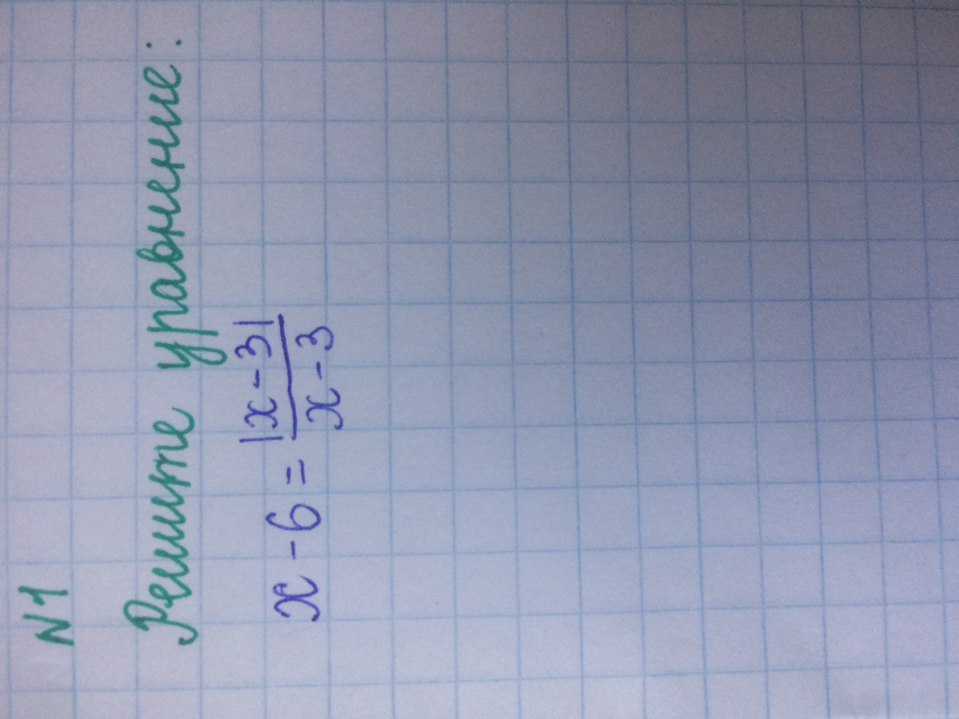
х-6 = |x-3|/x-3

Рассмотрим два случая:

Первый случай, х ≥ 3:

х-6 = x-3/x-3

х-6 = 1

х = 7

Условию подходит, оставляем.

Второй случай, х < 3:

х-6 = 3-х/x-3

х-6 = -(3-х)/3-х

х-6 = -1

х = 5

Не подходит условию.

Ответ: 7

Вас заинтересует