Ответы
Ответ дал:
0
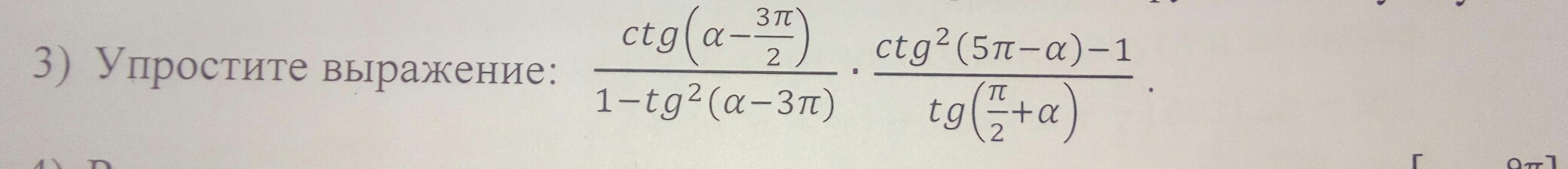
Держи. Используй формулы




Приложения:
Вас заинтересует
2 года назад
3 года назад
3 года назад
9 лет назад
9 лет назад