• Предмет: Алгебра
  • Автор: Yana18102001
  • Вопрос задан 8 лет назад

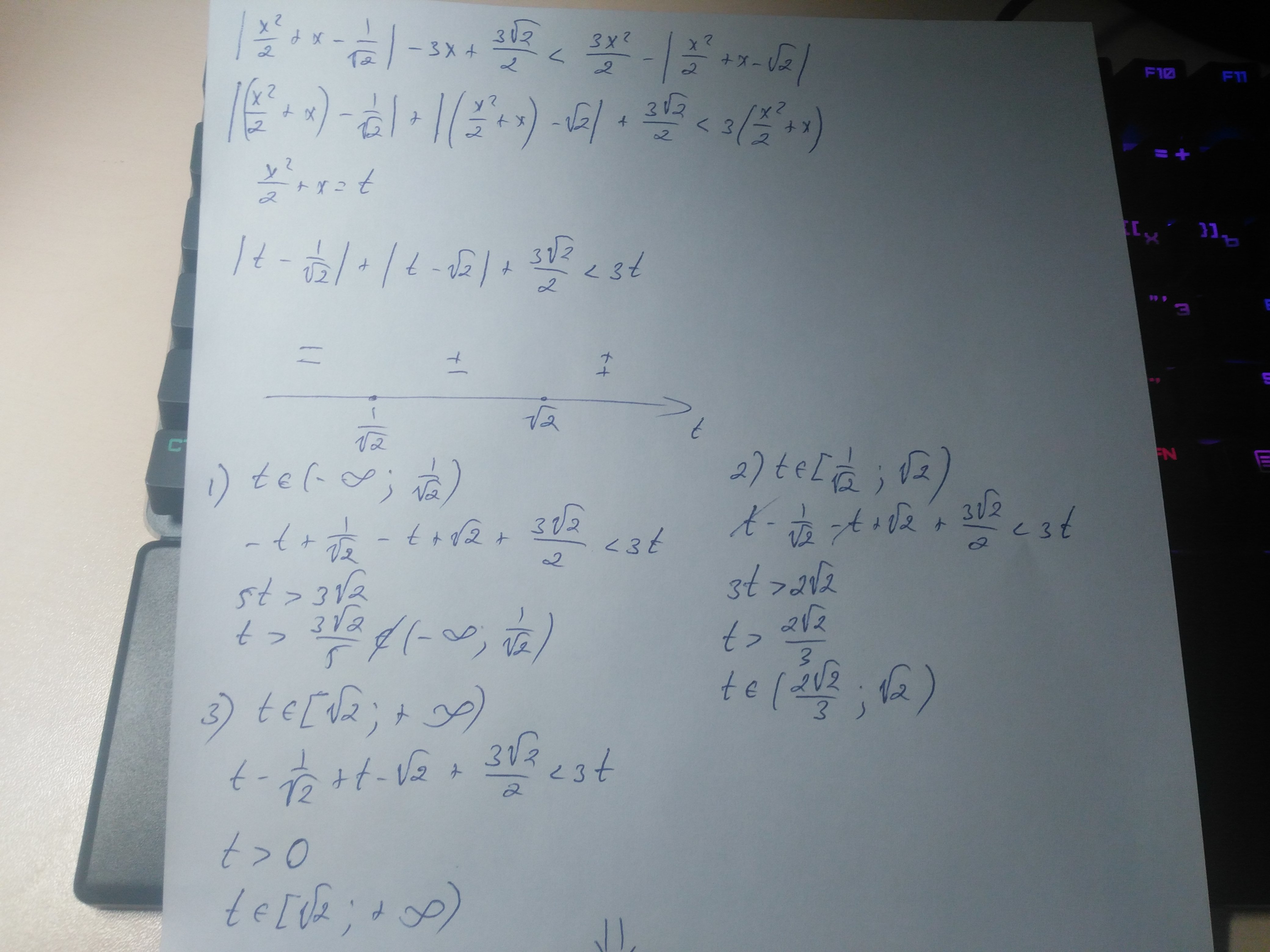
Помогите решить с модулями неравенство, пожалуйста. (шестой номер)

Приложения:

Ответы

Ответ дал: NeZeRAvix
0

Отличное неравенство с отличным ответом (рекомендую все проверить на всякий случай)

Приложения:
Ответ дал: Simba2017
0
нормальный ответ
Ответ дал: Yana18102001
0
вы меня спасли, огромное спасибо!
Вас заинтересует