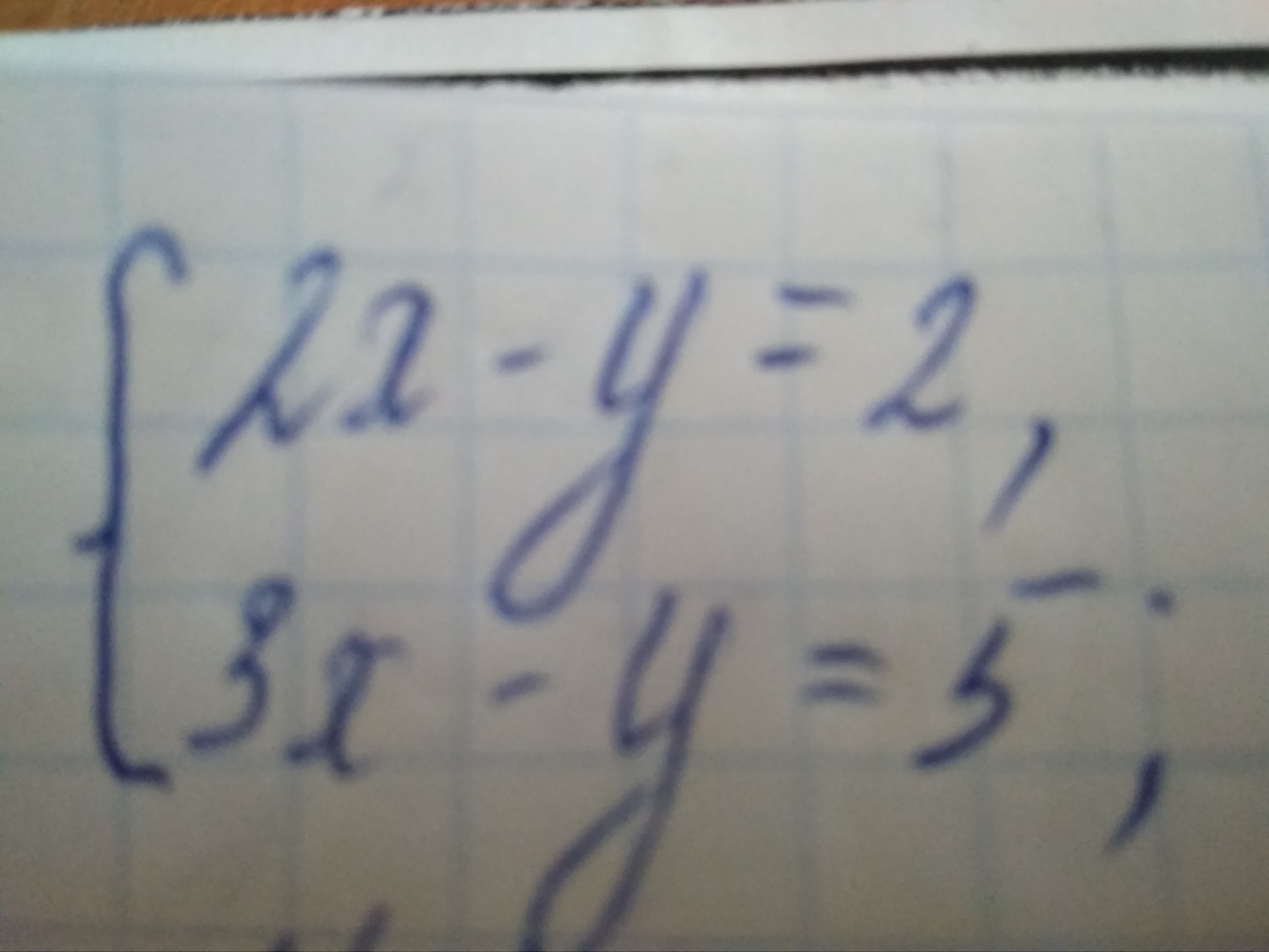
Помогите нужно решить 3 способом
1.графичний
2.пидстановки
3.додавання
Пожалуйста я Вас очень прошу
Приложения:

Ответы
Ответ дал:
0
Розв'язання завдання додаю
Приложения:


Вас заинтересует
2 года назад
3 года назад
3 года назад
9 лет назад
9 лет назад
9 лет назад
9 лет назад