• Предмет: Математика
  • Автор: Jerry27227227
  • Вопрос задан 8 лет назад

Помогите понять задачу. Решение уже знаю но не понимаю решение.

Пятеро каменщиков вначале рабочей недели получили равное количество кирпича. Когда трое из них израсходовали по 326 кирпичей, то у них осталось столько кирпичей, сколько вначале получили другие два каменщика. Сколько всего кирпичей получили каменщики вначале недели?

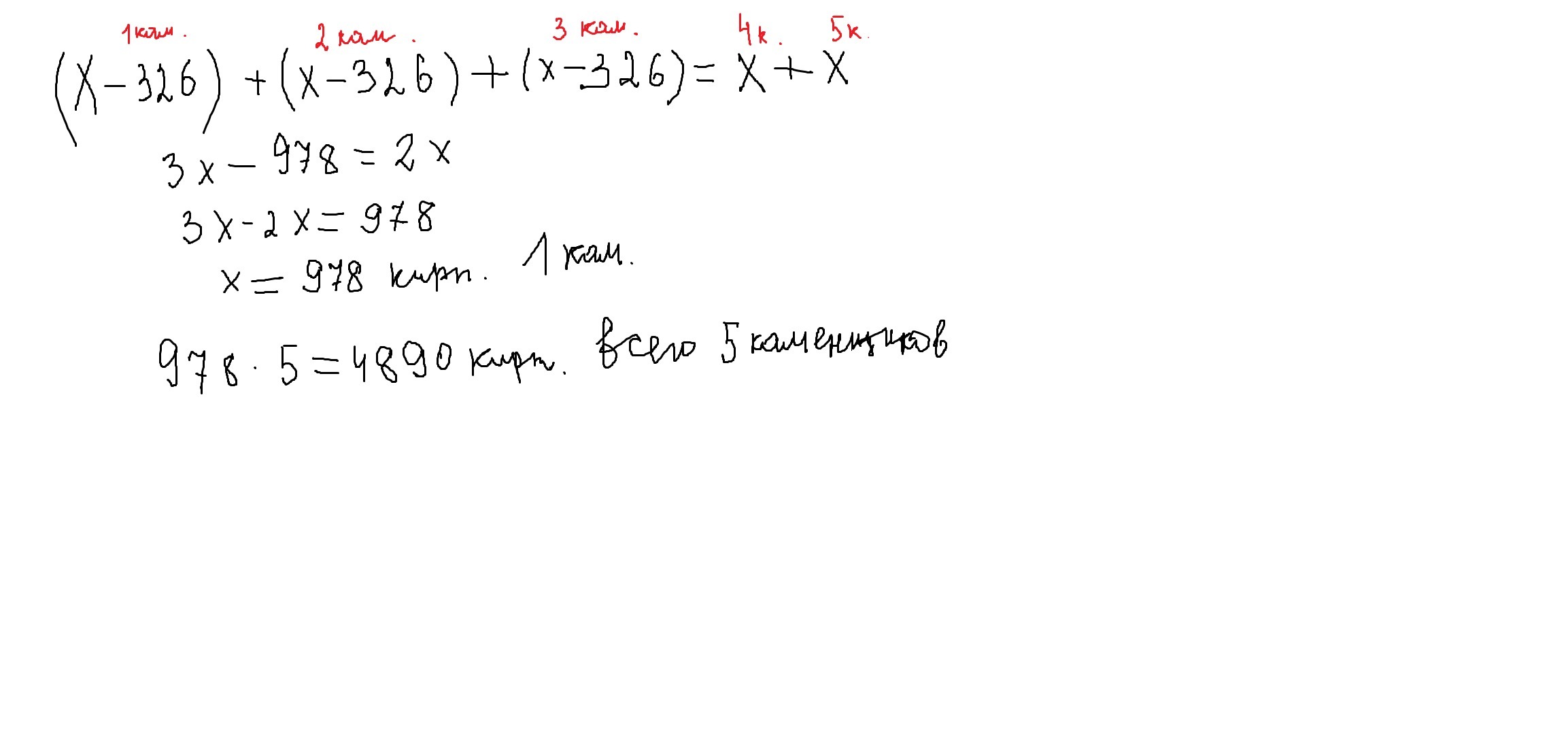
Как? Вот мои догадки в фото.

Приложения:

Ответы

Ответ дал: parus77
0

А я составила и решила уравнение,посмотри,может это что то поможет понять и решить по -своему.

каждый каменщик получил Х кирпичей и по (Х-326) кирп.осталась у 3 каменщиков.Составим уравнение .решение внизу.

Приложения:
Ответ дал: veronikazaharova109
0
да!!!!!!!!!!!!
Ответ дал: veronikazaharova109
0
точно!!!!
Ответ дал: veronikazaharova109
0
как я не додумалась!
Вас заинтересует