Ответы
Ответ дал:
0
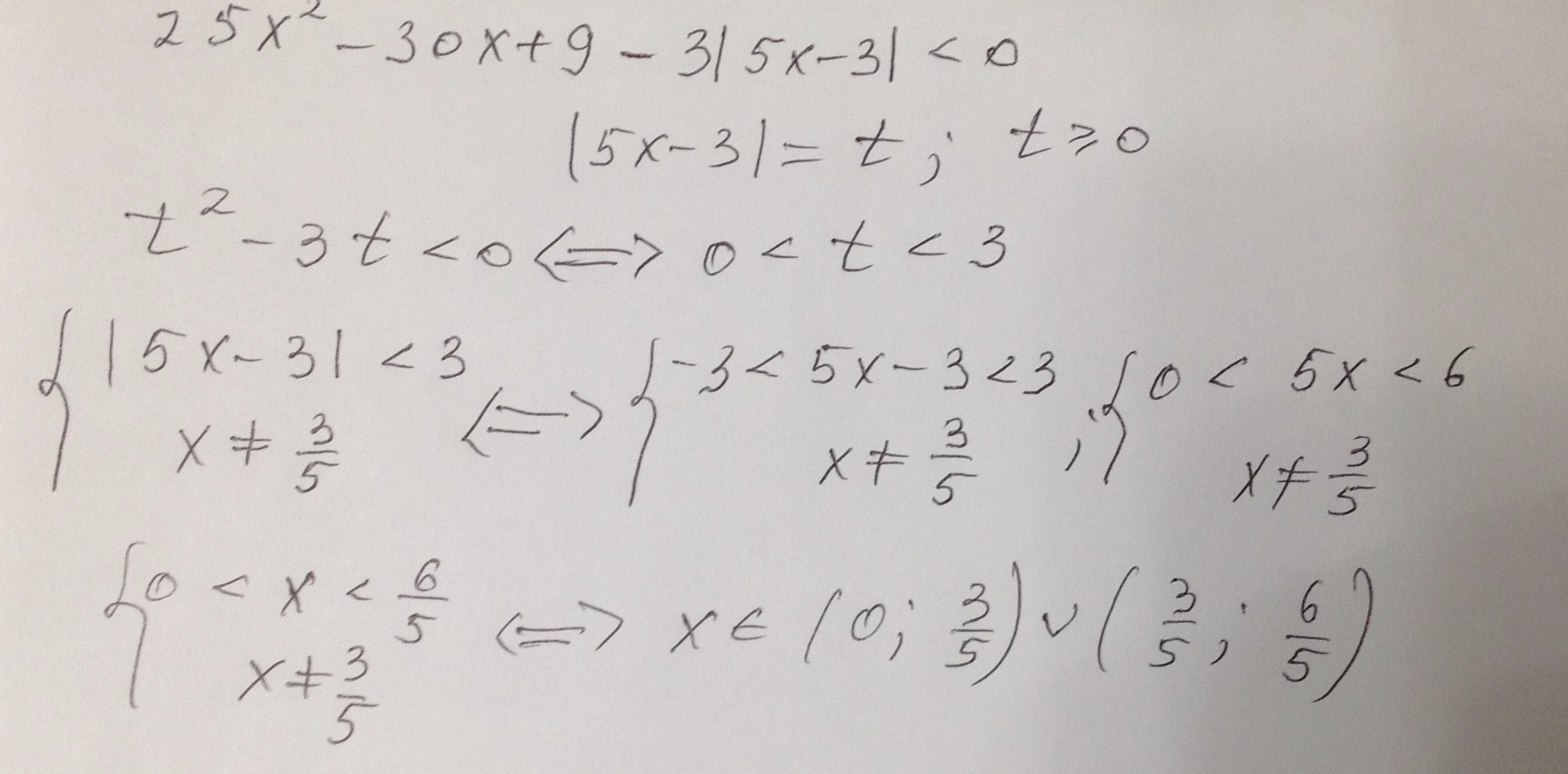
Решение неравенства во вложении. Удачи
Приложения:

Ответ дал:
0
спасибо
Ответ дал:
0
пример устный :
////////////////////////////////////////
Приложения:

Ответ дал:
0
замена в этом примере подразумевалась ( специально подобраны коэффициенты)
Ответ дал:
0
и конечно он устный
Ответ дал:
0
ну или почти устный
Ответ дал:
0
я бы его не решал ( скучный , технический пример), но хотелось показать рациональное решение
Ответ дал:
0
Да, спасибо. Про t>0 (строго) сообразил с опозданием. Вариант замены, конечно, интересный, но что шибко простой... не сказал бы. Все равно куча подробностей проделана в уме
Вас заинтересует
2 года назад
2 года назад
3 года назад
3 года назад
9 лет назад
9 лет назад
9 лет назад
9 лет назад