• Предмет: Математика
  • Автор: anastasiya1893
  • Вопрос задан 8 лет назад

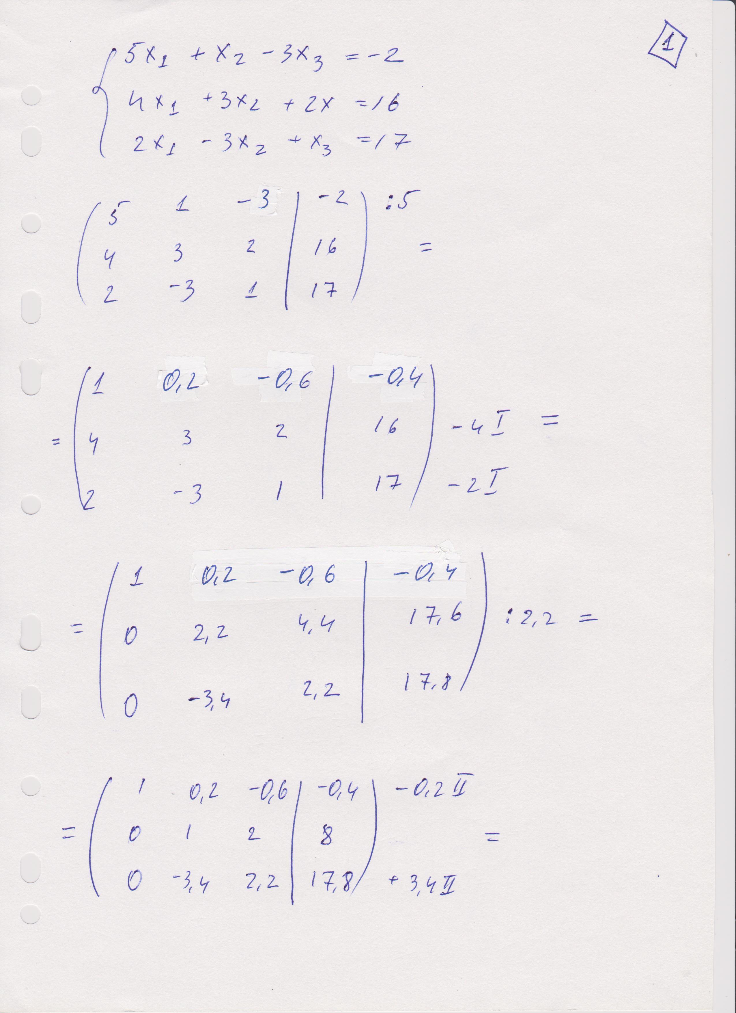
Помогите пожалуйста решить систему линейных уравнений

Приложения:

Ответы

Ответ дал: Аноним
0

Решение на картинках

Приложения:
Вас заинтересует