Ответы
Ответ дал:
0
////////////////////////////////////////////////////////////////////////////////////////////////////
Приложения:


Ответ дал:
0
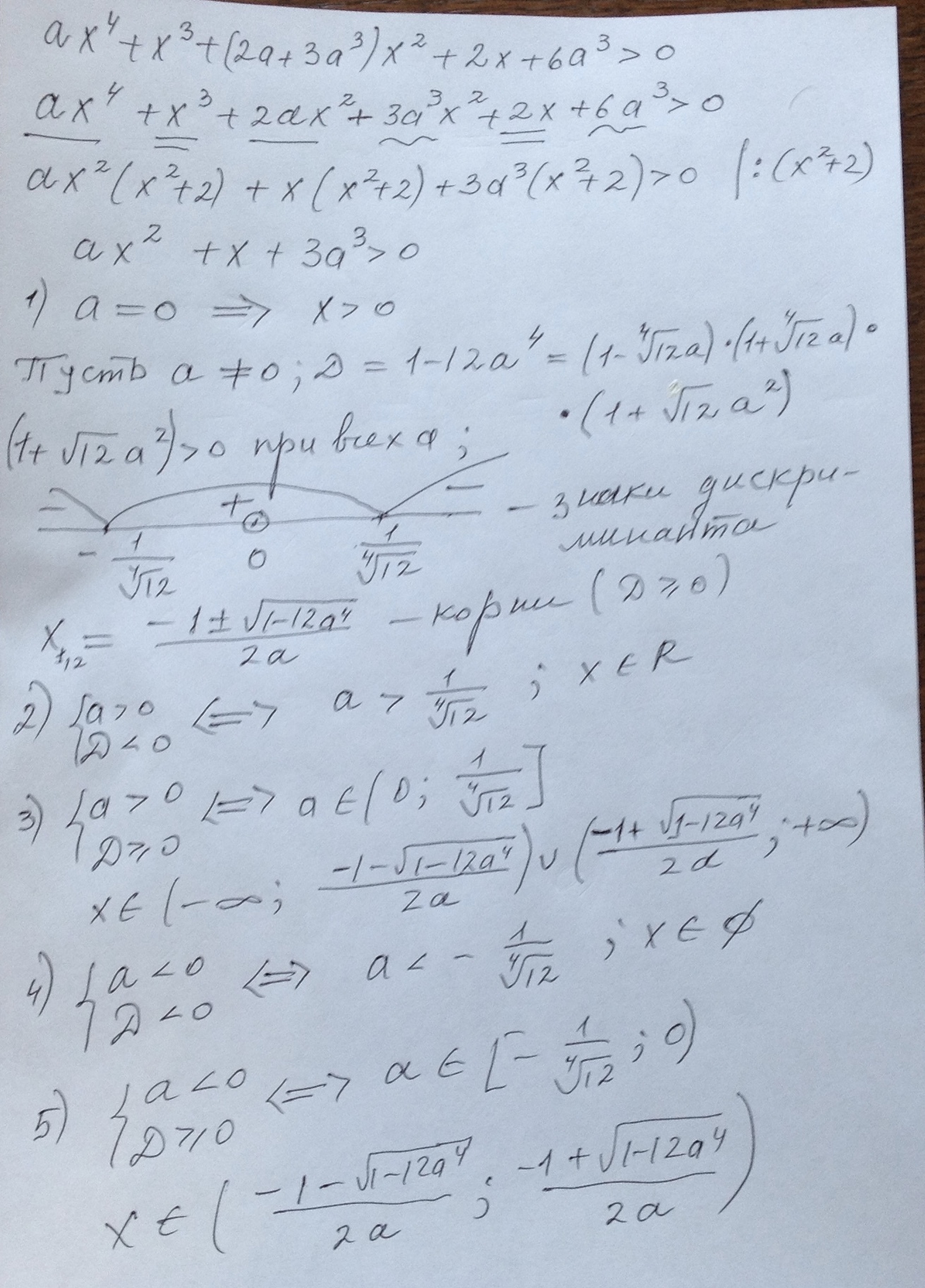
При a равном -1 делённое на корень 4-й степени из 12 решений тоже не должно быть... (5-й) случай.
Ответ дал:
0
да , но при этом а получается интервал ( -1 /2a ;-1/2a) , а этот интервал пустой , т.е., если х в нем , то его не существует и получается, что решений нет
Ответ дал:
0
можете включить это значение в 4 случай , но формально ошибки нет , я свел неравенство 4 степени к квадратному , а его должен уметь решать каждый
Вас заинтересует
2 года назад
3 года назад
3 года назад
9 лет назад
9 лет назад
9 лет назад
9 лет назад