• Предмет: Алгебра
  • Автор: avfbkhjkkok
  • Вопрос задан 8 лет назад

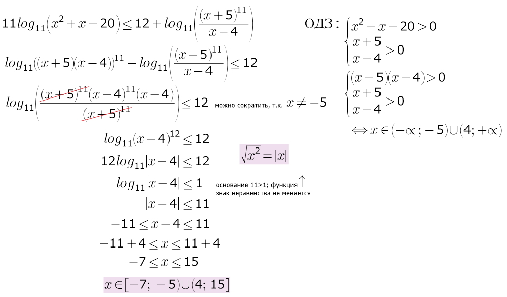
Решите неравенство 11log11(x^2+x−20)≤12+log11(x+5)^11/x−4.Вопрос дополнен картинкой.

Приложения:

Ответы

Ответ дал: LFP
0

если есть ответы--можно сравнить...

если остались вопросы (и замечания) --можно писать...

Приложения:
Вас заинтересует