• Предмет: Алгебра
  • Автор: nikitatimokhin
  • Вопрос задан 8 лет назад

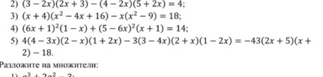
Помогите решить пожалуйста 5 пункт!

Приложения:

Ответы

Ответ дал: ruslank1460
0

4(4 - 3x)(2 - x)(1 + 2x) - 3(3 - 4x)(2 + x)(1 - 2x) = -43(2x + 5)(x + 2) - 18;

4(3x² - 10x + 8)(1 + 2x) - 3(8x² - 10x + 3)(2 + x) = -43(2x² + 9x + 10) - 18;

(12x² - 40x + 32)(1 + 2x) - (24x² - 30x + 9)(2 + x) = -86x² - 387x - 430 - 18;

12x² - 40x + 32 + 24x³ - 80x² + 64x - 48x² + 60x - 18 - 24x³ + 30x² - 9x = -86x² - 387x - 430 - 18;

12x² - 40x + 32 + 24x³ - 80x² + 64x - 48x² + 60x - 18 - 24x³ + 30x² - 9x + 86x² + 387x + 430 + 18 = 0;

462x + 462 = 0;

462x = -462;

x = -1.

Ответ: -1

Вас заинтересует