1. Зная координаты точек A(-1, -19, -19) и B(6, -4, -12) найдите значение вектора AB.
2. Найти сумму двух векторов a = {2; -14; -9} и b = {-16; -19; -11}.
3. Найти разность двух векторов a = {-10; -8; 0} и b = {-8; -2; -17}.
4. Найти сумму двух векторов a = {-14; -4; -19} и b = {-13; 9; 14}.
5. Найти разность двух векторов a = {18; -7; -8} и b = {-2; 17; -6}.
6. Найти скалярное произведение двух векторов a = {-17; 19; 14} и b = {17; 12; 3}.
7. Найти скалярное произведение двух векторов a = {-10; -11; -14} и b = {13; 15; -3}.
8. Найти скалярное произведение двух векторов a = {-12; 4; 18} и b = {-16; -17; -20}.
9. Найти квадрат модуля вектора a = {-19; -19; 19}.
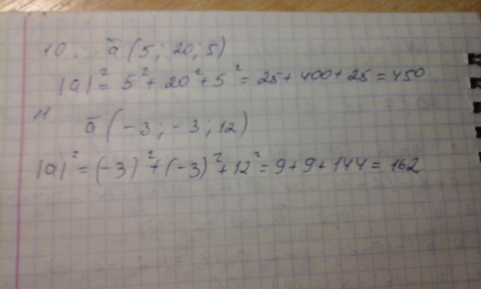
10. Найти квадрат модуля вектора a = {5; 20; 5}.
11. Найти квадрат модуля вектора a = {-3; -3; -12}.
Ответы
Ответ дал:
0
решение в приложении
Приложения:


Ответ дал:
0
Спасибо !!!
Вас заинтересует
2 года назад
3 года назад
9 лет назад