Ответы
неравенство (квадратичное) решается методом интервалов,
корни можно найти по т.Виета (устно), если использовать метод "переброски"...

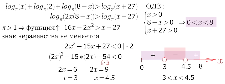
По свойству логарифмов при основании больше 1 имеем:
х*2*(8 - х) > x + 27,
16x - 2x² > x + 27.
Графически это часть параболы у = 16x - 2x² выше прямой у = x + 27.
Найдём точки их пересечения:
16x - 2x² = x + 27,
2x² - 15x + 27 = 0.
Квадратное уравнение, решаем относительно x:
Ищем дискриминант:
D=(-15)^2-4*2*27=225-4*2*27=225-8*27=225-216=9;
Дискриминант больше 0, уравнение имеет 2 корня:
x_1=(√9-(-15))/(2*2)=(3-(-15))/(2*2)=(3+15)/(2*2)=18/(2*2)=18/4=4.5;
x_2=(-√9-(-15))/(2*2)=(-3-(-15))/(2*2)=(-3+15)/(2*2)=12/(2*2)=12/4=3.
Решение задачи находится между полученными значениями по методу интервалов.
Ответ: х ∈ ( 3; 4,5).
