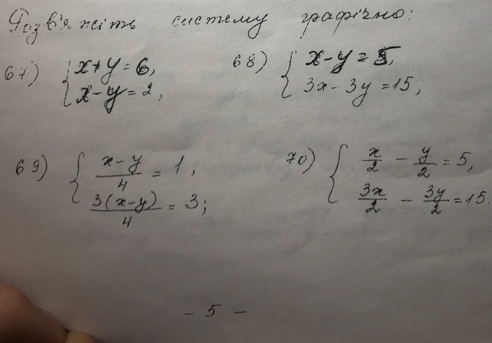
СРОЧНО! ПОМОГИТЕ! БУДУ ОЧЕНЬ БЛАГОДАРНА! Розв"яжіть систему графічно (решите систему графически) ТОЛЬКО 69 и 70 системы нужно.
Приложения:

Ответы
Ответ дал:
0
решение первой системы исправлено и добавлены графики
Приложения:



Ответ дал:
0
Спасибо большое! А что за приложение?
Ответ дал:
0
это на фото , которые я прикрепила в ответе
Ответ дал:
0
В смысле?
Ответ дал:
0
На фото просто решение Ваше, а приложение какое?
Ответ дал:
0
это и есть приложение, будьте внимательны, решение первой системы переделанно
Вас заинтересует
2 года назад
2 года назад
3 года назад
3 года назад
9 лет назад
9 лет назад
9 лет назад