• Предмет: Алгебра
  • Автор: Olmipt
  • Вопрос задан 8 лет назад

Решить системы уравнений, прошу!

Приложения:

Ответы

Ответ дал: GeniusEnstein
0

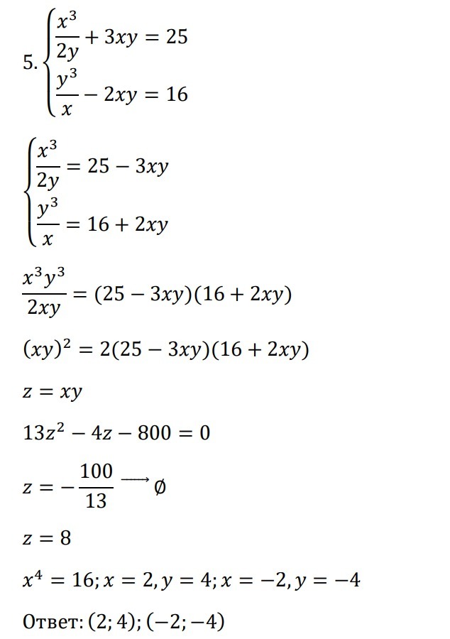
Решение во вложении...

Приложения:
Ответ дал: Simba2017
0
там неверно у вас z=xy; 25z^2-8z-1600=0
Ответ дал: GeniusEnstein
0
описка где 4(25-3xy)(16+2xy), множитель двойка. Решение в остальном верно
Вас заинтересует