Ответы
Ответ дал:
0
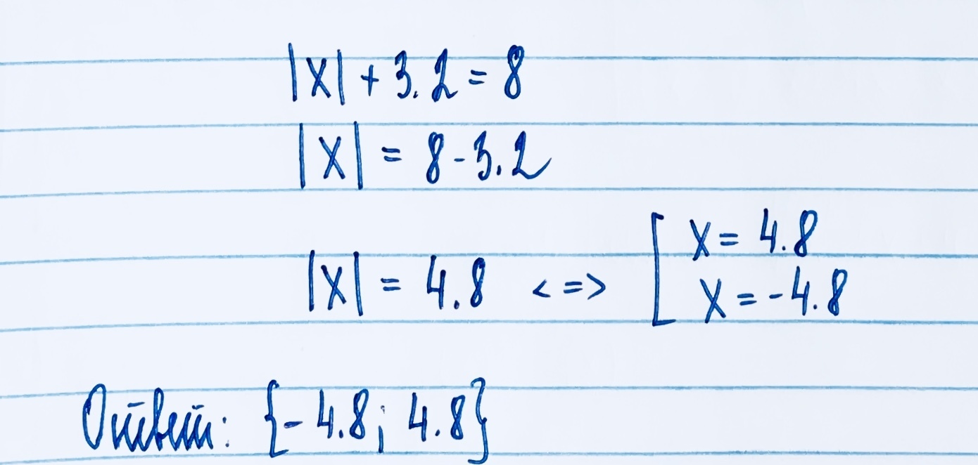
Ловите. Раскрываем модуль как совокупность двух уравнений. Удачи!
Приложения:

Вас заинтересует
3 года назад
9 лет назад
9 лет назад
9 лет назад