• Предмет: Математика
  • Автор: mariosa74
  • Вопрос задан 8 лет назад

СРОЧНО 10 БАЛЛОВ
ЖЕЛАТЕЛЬНО ВСЕ И НА ЛИСТОЧКЕ .

Приложения:

Ответы

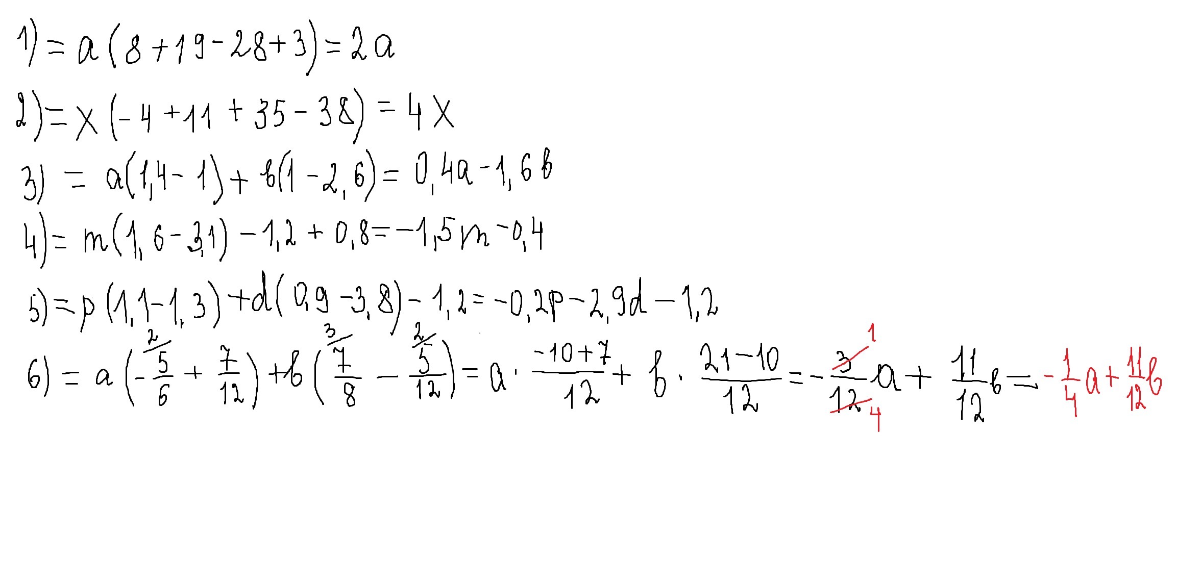
Ответ дал: gig1007001
0
1)2а
2)4х
3)0.4а-1.6b
4)-1.5m-0.4
5)-0.2p-2.9d-1.2
6)-1/4a+11/24b
Ответ дал: parus77
0

решение смотри внизу

Приложения:
Ответ дал: parus77
0
в 6 примере я нашла у себя ошибку.Там знаменатель 24 и получится ответ -324а+1124в=-18а+1124в.Извините.
Ответ дал: mariosa74
0
Ничего страшного я исправлю)))
Вас заинтересует