• Предмет: Математика
  • Автор: natashaphanda
  • Вопрос задан 8 лет назад

Решите уравнение -4 (5-2m) + 3 (m - 4) = 6 (2- m) -5m

Ответы

Ответ дал: NSema
0

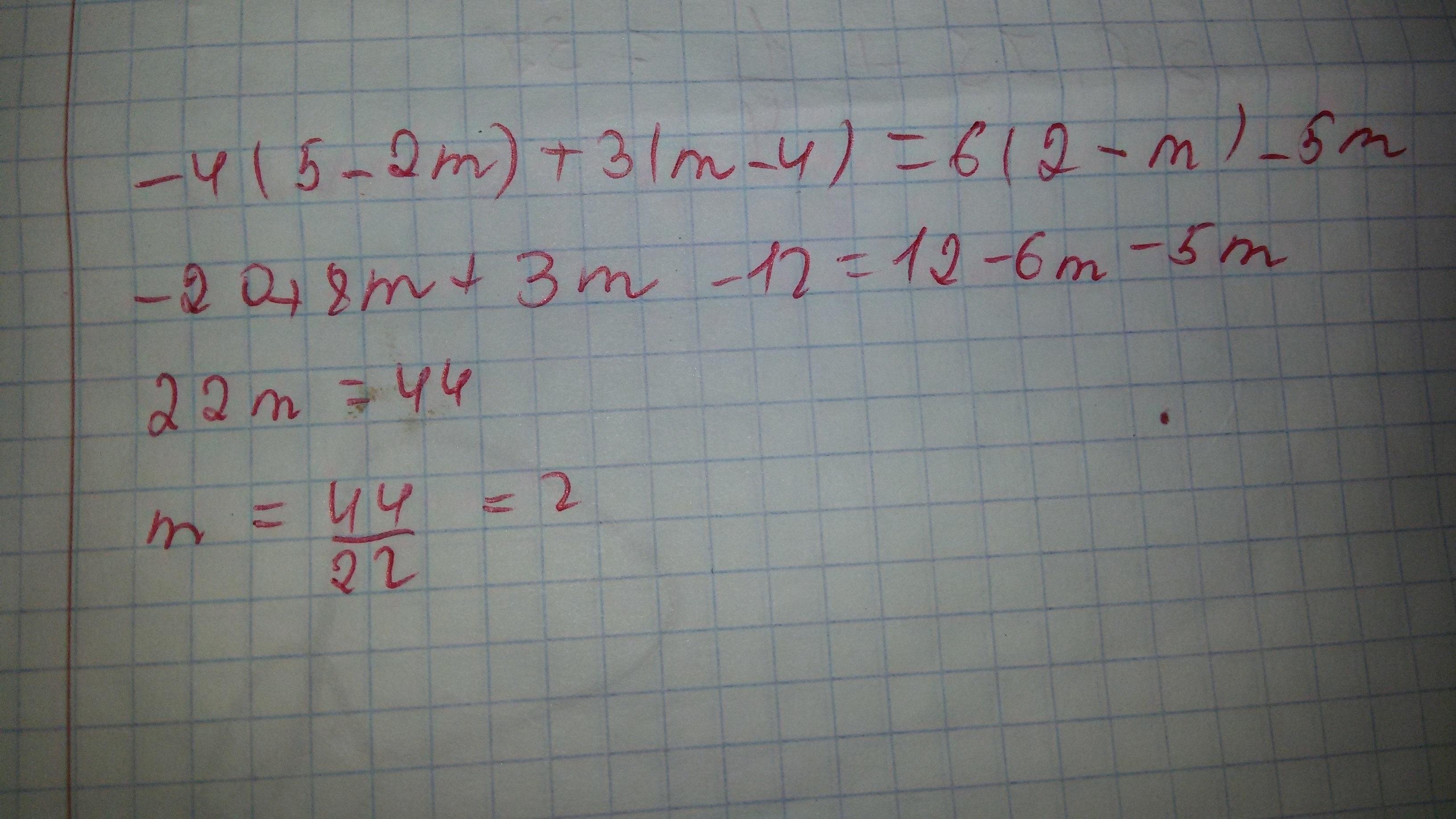
-4 (5-2m) + 3 (m - 4) = 6 (2- m) -5m
-20+8m+3m-12=12-6m-5m
8m+3m+6m+5m=12+20+12
22m=44
m=2

Ответ дал: Pkq
0

Это оэришение этой задачы

Приложения:
Вас заинтересует