Ответы
Ответ дал:
0
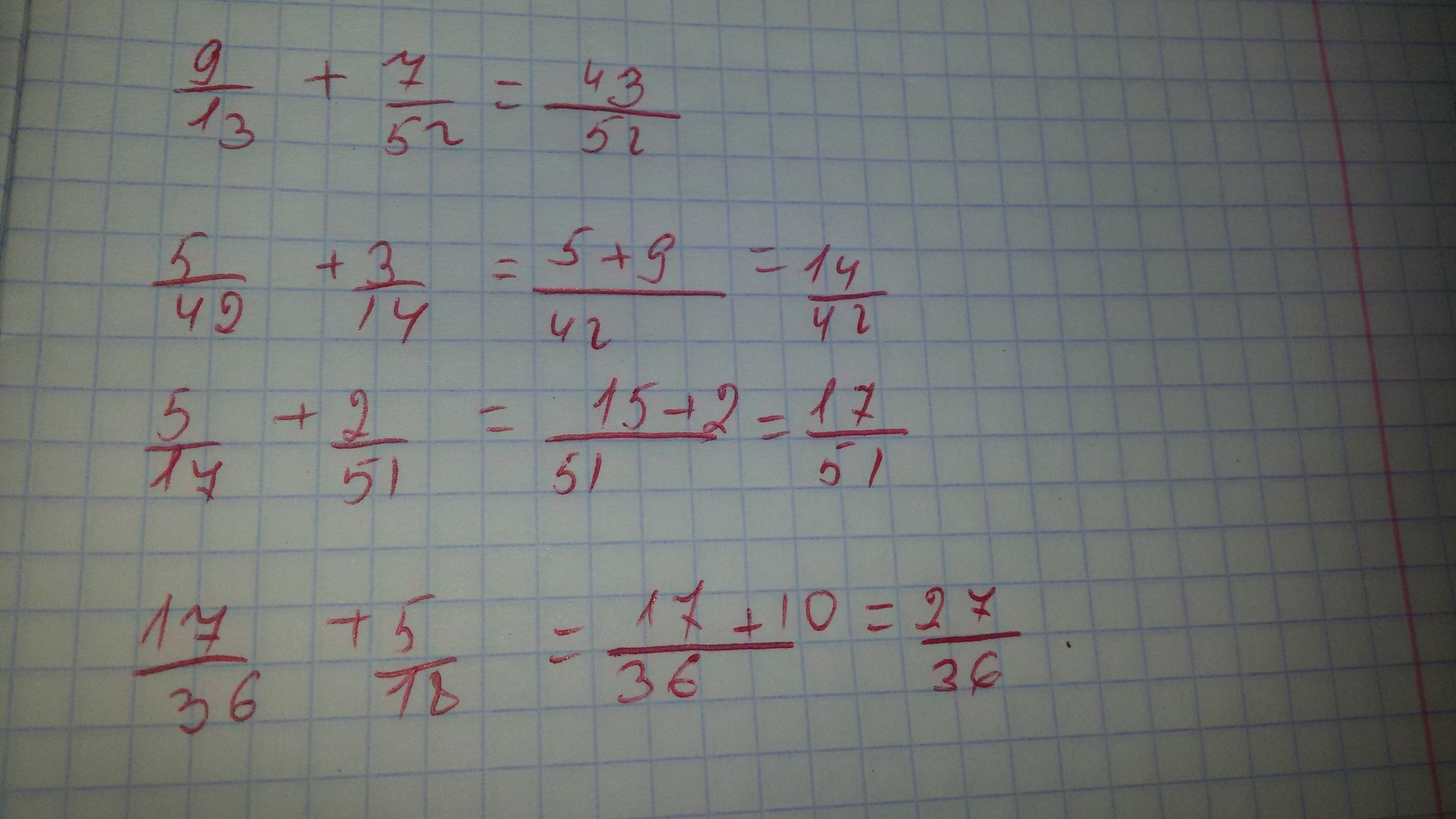
А) 9/13 + 7/52 = ?
9/13 = 36/52
36/52 + 7/52 = 43/52
Б) 5/42 + 3/14 = ?
3/14 = 9/42
5/42 + 9/42 = 14/42 = 1/3
В) 5/17 + 2/51 = ?
5/17 = 15/51
15/51 + 2/51 = 17/51 = 1/3
Г) 17/36 + 5/18 = ?
5/18 = 10/36
17/36 + 10/36 = 27/36 = 3/4
Удачи)
Ответ дал:
0
Спасибо большое
Ответ дал:
0
Это ришение этой задачы
Приложения:

Вас заинтересует
2 года назад
2 года назад
3 года назад
9 лет назад
9 лет назад
9 лет назад