• Предмет: Алгебра
  • Автор: kefgekiz
  • Вопрос задан 8 лет назад

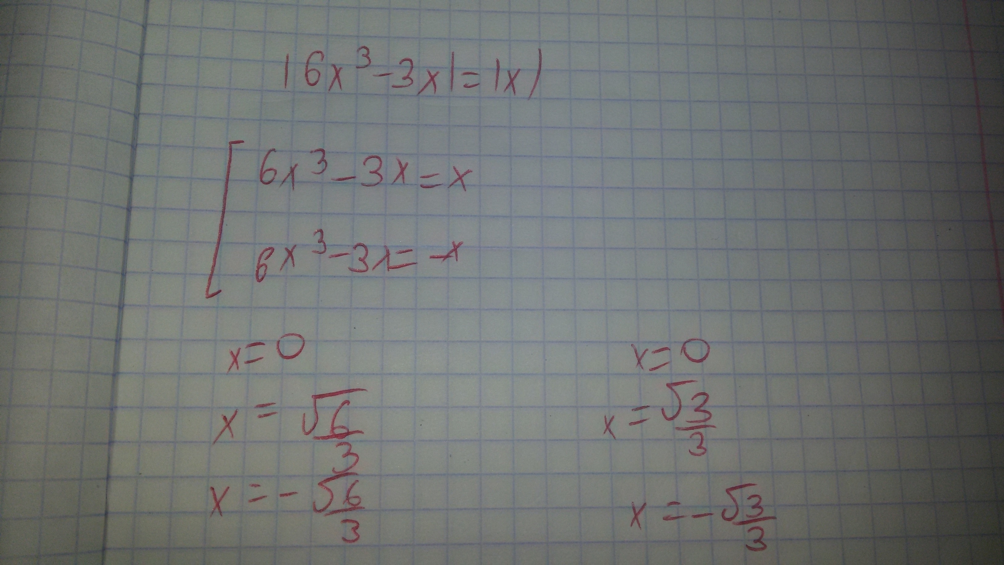
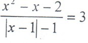
Решите уравнения на фото:

Приложения:

Ответы

Ответ дал: Pkq
0

Это ришение этой задачы

Приложения:
Вас заинтересует